Last update:
8-02-2020
|
|---|
Lake sub-fossil material to extend living chronologies
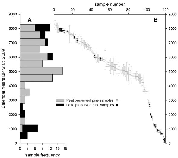
In 2008, a survey of of lochans in the NW Cairngorms region identified several lakes with abundant amounts of preserved pine woody material in the sediments. The picture below shows the initial 25 preliminary samples taken from two lochs (Eilein and Gamnha) in the Rothiemurchus Estate which were carbon dated in 2009. Although these preliminary samples were taken using a pruning saw and 10mm corer, some of these samples had > 150 rings.
Carbon dating of these samples indicated ages ranging from 200-8000 yrs. BP. When compared to carbon dates from peat pine macrofossils, it is clear that there is no evidence, so far, for trees in this region dying around the so called "pine decline" around 5000 yrs BP. Only more samples can answer the disparity of these results. The cluster of samples from the last millennium suggests that building at least a 1000 year continuous tree-ring chronology appears attainable. The cluster of dates around ~8000 yrs. BP is also worthy of note and suggests long term potential of a supra-long chronology for the Scottish Highlands. A paper of this early phase work can be download from this [link].
Since 2009, extraction of sub-fossil material from the Northern Cairngorms and Glen Affric has continued. We now have about 1000 sub-fossil samples of which about 1/3rd have been dated through dendrochronological or radiocarbon methods. The main regions of focus have been (1) Loch an Eilein and Loch Gamnha (Rothiemurchus Estate), (2) Ryvoan Pass (Greenloch)/Abernethy Pine woodlands and (3) Glen Affric. The current floating chronologies are detailed below.
The NERC SCOT2K project will is focussing on the development of a 2000 year continuous tree-ring record for the Scottish Highlands. Such chronology development is a real challenge.
Calendar Date Years series trees C14 Dates Loch an Eilein and Loch Gamnha Dating method Living 1696-2013 318 222 lots na TR + 14C Float7 1682-1901 220 89 34 3 TR + 14C Float2 1518-1745 228 36 15 1 TR Float20 1370-1542 173 12 5 0 TR + 14C Float23 1200-1502 303 45 20 8 TR + 14C Float14 1089-1333 245 25 7 1 14C based dates below - not dendro validated 14C Float24 851-1051 246 10 5 0 14C Float26 817-948 132 11 5 1 14C Float1 642-898 257 20 9 2 14C Float19 546-792 247 20 9 1 14C Float13 148-353 206 51 27 2 14C AD/BC 14C Float16 114 5 2 1 14C Float15 -1246 to -1009 237 9 5 1 14C Float22 226 8 4 1 14C Float5 -4075 to -3738 191 6 3 1 14C Float17 -4132 to -3875 258 11 5 1 14C Float12 -5174 to -4796 277 15 6 2 14C Float11 -5175 to -4866 311 5 2 1 14C Float9 -5423 to -5232 192 7 5 2 14C Float3 -6008 to -5684 325 20 11 5 Abernethy and Green Loch TR ABW 1735-2009 275 80 80 0 TR GRN + talus 1436-2013 578 223 lots 0 TR Float1 (grn and ab) 1434-1970 537 181 79 0 TR Float2 (ab only) 1176-1351 176 4 2 0 Glen Affric Living 1693-2013 321 189 lots 0 TR Float1 1452-1844 393 72 33 0 TR Float 10 1260-1558 299 21 8 0 TR + 14C Float 5 724-1064 406 26 12 0
TR = tree-ring based dendrochronological date. Exact to the year.
14C dating precision varies through time, but is generally +/- 30-40 years.
TR + 14C date - denotes both tree-ring dating and consistent (within error) radiocarbon dating.
