University of St. Andrews, Physics and Astronomy Banner

Contact the group: sl10 @ st-and.ac.uk 


Magnetic Recording Media

Magnetic hard disk storage devices are found at the heart of many of the high technology systems we take for granted in modern life.  As essential components of devices such as computers, modern video storage devices and mp3 players, they permeate much of our business and leisure activities and are thus of enormous commercial importance.


At the heart of every hard disk drive are nanomagnetic thin-film recording media that are a  tour de force of materials' science and technology.  Information is stored in bits comprising approximately 200 ferromagnetic grains each currently around 8 nm in diameter, formed by compositional segregation during sputter deposition from a CoCrPt based alloy.  Due to their obvious market pre-eminence there is a very large body of literature concerned with the characterization and performance characteristics of these materials.  Rather surprisingly, there has been relatively very little investigation of their magnetic properties on the length scale of the grains themselves. This is to some large extent due to the problems of finding appropriate physical probes that can produce quantitative results at these (sub-10 nm) length scales.


Over recent years we have worked in collaboration with several of the world market leaders in magnetic storage technology (Seagate, IBM, Hitachi) to use neutrons to address fundamental questions about the physical and magnetic structure of magnetic recording media. Neutrons are an ideal probe of magnetic structure at these length scales. For further background information see ILL Scientific Highlight 2006, ILL Scientific Highlight 2002 and other references below.


References

Analysing SANS data to determine magnetisation reversal processes in composite perpendicular magnetic recording media using TEM images,
Lister SJ, Kohlbrecher J, Venkataramana V, Thomson T, Takano K, Lee SL,
International Journal of Material Research 102, 1142 (2011).

Size-dependent reversal of grains in perpendicular magnetic recording media measured by small-angle polarized neutron scattering,
S.J. Lister, T. Thomson, J. Kohlbrecher, K. Takano, V. Venkataramana, S.J. Ray, M. P. Wismayer, M.A. de Vries, H. Do, Y. Ikeda and S.L. Lee,
Appl. Phys. Lett. 97 (11) 112503 (2010)


Small-angle polarized neutron studies of perpendicular magnetic recording media,
M. Wismayer, S.J. Lister, S.L. Lee, T. Thomson, Ken Takano, J. Kohlbrecher, C. Dewhurst, J. Appl. Phys. 106 063908 (2009).

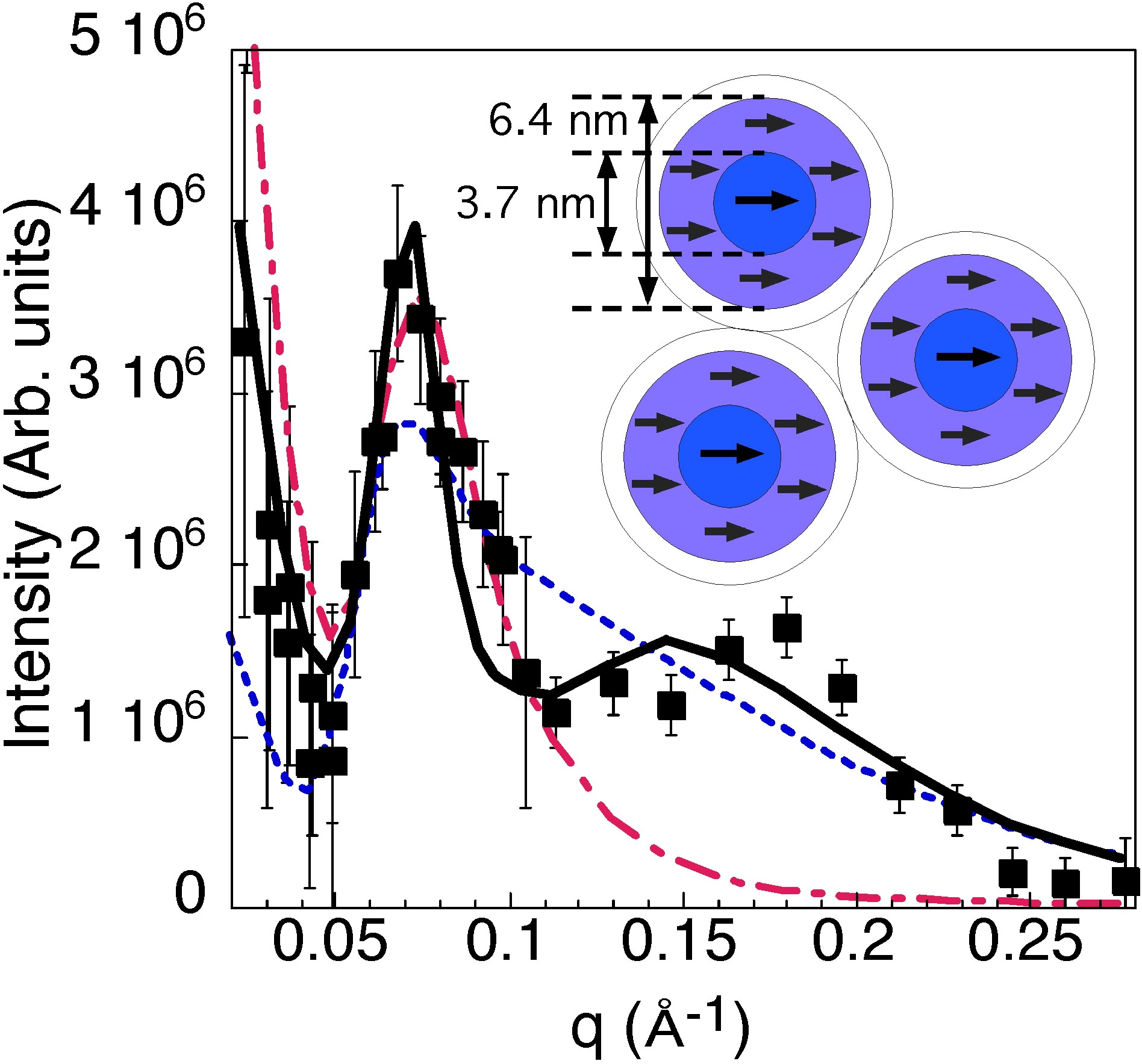
Perp plot  
SANS data taken on a sample of perpendicular recording media. The inset shows the model corresponding to the black curve fitted to the data.

 

 

 

 

 





 

b
Disk drive

An image of a typical hard disk drive
a

 
b
Grains

A schematic of the magnetic structure of the 11nm grains in longitudinal recording media as determined by SANS

a

 




Copyright © 2012 - 2013. University of St. Andrews. Last Updated: 20/03/2013