PLENARY LECTURES & AWARD ADDRESS

 

 

MONDAY MORNING, August 24

(10.15 Opening Ceremonies)

 

Page

11.00

R.K. ROBINS, Brigham Young University, Provo, Utah, USA

 1

 

NOVEL NITROGEN HETEROCYCLES AS POTENTIAL MEDICINAL AGENTS

 

 

L.B. Townsend (University of Michigan, Ann Arbor, USA) presiding

 

 

 

 

TUESDAY MORNING, August 25

 

9.30

J. SZMUSZKOVICZ, The Upjohn Company, Kalamazoo, Michigan, USA

5

 

SOME NOVEL ASPECTS OF HETEROCYCLIC CHEMISTRY

 

 

M. Haddadin (American Univers. of Beirut, Lebanon) presiding

 

 

 

 

11.00

W. OPPOLZER, Université de Genève, Switzerland

 6

 

NEW ASPECTS OF REGIO- AND STEREO-SELECTIVE SYNTHESIS OF HETEROCYCLES AND NATURAL PRODUCTS

 

 

A.R. Katritzky (University of Florida, Gainesville, USA) presiding

 

 

 

 

WEDNESDAY MORNING, August 26

 

9.30

T. KATO, Tohoku University, Sendai, Japan

 7

 

DIKETENE IN HETEROCYCLIC SYNTHESIS

 

 

V. Franzen (Lonza Ltd., Basel, Switzerland) presiding

 

 

 

 

11.00

H.C. VAN DER PLAS, Agricultural University, Wageningen, Netherlands

 8

 

TRE REACTIVITY OF PTERIDINES AND SOME DEAZAPTERIDINES TOWARDS NUCLEOPHILES IN ENZYMATIC AND NON-ENZYMATIC REACTIONS

 

 

M. Tisler (University of Ljubljana, Yugoslavia) presiding

 

 

 

 

THURSDAY MORNING, August 27

 

9.30

K. LEMPERT, Technical University, Budapest, Hungary

9

 

N-QUINAZOLINIOAMIDATES AND RELATED SYSTEMS

 

 

H. Suschitzky (University of Salford, England) presiding

 

 

 

 

11.00

S.W. SCHNELLER, University of South Florida, Tampa, Fl, USA

10

 

QUINAZOLINES, QUINOXALINES AND RING-SEPARATED PTERIDINES AND PURINES

 

 

W. Pfleiderer (University of Konstanz, Germany) presiding

 

 

 

 

FRIDAY MORNING, August 28

 

9.00

K. GEWALD, Technical University, Dresden, German Democratic Rep.

11

 

RECENT SYNTHESIS OF HETEROAROMATIC AMINES BY CYCLIZATION OF NITRILES

 

 

B. Stanovnik (University of Ljubljana, Yugoslavia) presiding

 

 

 

 

10.15

R. MORRIN ACHESON, Oxford University, England

12

 

HETEROCYCLES FROM ACTIVATED ACETYLENES

 

 

G. Cheeseman (Queen Elizabeth College, London, England) presiding

 

 

 

 

11.30

H. NEUNHOEFFER, Technical University, Darmstadt, Fed. Rep. Germany

13

 

SYNTHETIC STUDIES ON NITROGEN-CONTAINING HETEROCYCLES

 

 

R.R. Schimidt (University of Konstanz, Germany) presiding

 

 

 

MONDAY, AUGUST 24                                 AUDITORIUM I

 

SYMPOSIUM A: MALONONITRILE IN HETEROCYCLIC SYNTHESIS

CHAIRMAN: E.C. Taylor, Princeton LOCAL ORGANIZER: H. Junek, Graz

 

14.15

NEW SYNTHETIC APPROACHES TO CONDENSED PYRIDINES (Main Lecture),

 

 

E.C. Taylor, D.C. Palmer, S.R. Fletcher, P.J. Harrington, Princeton University, N.J., USA

15

 

 

 

15.00

TOSYLOXIMINO-MALONONITRILE - SCOPE AND LIMITATION (Main Lecture),

 

 

J.P. Fleury, Ecole Nationale Supérieure de Chimie, Mulhouse, France

16

 

 

 

15.30

THE REACTION OF α-PHENYLMALONONITRILE WITH HYDRAZINE AND HYDROXYLAMINE,

 

 

G. Zvilichovsky, M. David, Hebrew University of Jerusalem, Israel

17

 

 

 

Intermission

 

 

 

 

16.15

TWO STEP SYNTHESIS OF CYANOSUBSTITUTED 4-AMINO-2-PYRIDONES,

 

 

B. Thierrichter, O.S. Wolfbeis, H. Junek, University of Graz, Austria

19

 

 

 

16.30

PREPARATION OF PYRIMIDINES THROUGH SODIUM ALCOXIDE INDUCED REGIOSPECIFIC CYCLISATION OF 1,3-DICARBONITRILES,

 

 

M.A. Perez, J.L. Soto, Universidad Complutense, Madrid, Spain

20

 

 

 

16.45

REACTIONS WITH 2-METHYL- AND 2-STYRYL-THIOCHROMENE,

 

 

I. Zeid, M. Zahran, Monoufeia University, Shibin El-Koam, Egypt

21

 

 

 

17.00

ACTIVATED NITRILES IN HETEROCYCLIC SYNTHESIS: NOVEL SYNTHESIS OF PYRIDINE DERIVATIVES,

 

 

A.B. Sakla, N.S. Ibrahim, M.H. Elnagdi, Cairo University, Giza, Egypt

22

 

 

 

17.15

REACTION OF MALONONITRILE WITH PYRROLIDINE-2,3,5-TRIONE DERIVATIVES,

 

 

B: Zaleska, Jagiellonian University, Kraków, Poland

24

 

 

 

17.30

MALONONITRILE IN CONDENSED PYRIMIDINES,

 

 

M. Ebeid, I. Bitter, Cairo University, Egypt & Technical University, Budapest, Hungary

25

 

 

 

17.45

3,5-DICYANO-PYRIDINE DERIVATIVES BY VILSMEIER FORMYLATION OF MALONONITRILE,

 

 

M. Mittelbac: H. Junek, University of Graz, Austria

26

 

 

MONDAY, AUGUST 24                               AUDITORIUM II

 

SE, SN, P, NI, PD, PHOTOCHEMISTRY

Presiding: R. Neidlein, Heidelberg, Germany

 

14.00

SYNTHESIS AND PYROLYSIS OF ARYLOX-, ARYLTHIO-, AND ARYL-SELENO-1,2,3-SELENADIAZOLES,

177

 

A. Shafiee, Tehran University, Iran

 

 

 

 

14.15

ON THE SYNTHESIS OF TIN(IV) HETEROCYCLIC COMPOUNDS,

179

 

R.H. Abu-Samn Riyad University, Saudi Arabia

 

 

 

 

14.30

LOSS AND RECOVERY IN 1,2,3-DIAZAPHOSHOLE REACTIONS,

181

 

A. Schmidpeter, J. Hogel, University of Munic, Germany

 

 

 

 

14.45

THE SYNTHESIS OF HETEROCYCLES WITH ORGANOMETALLIC COMPLEXES,

 

 

Y. Ban, Hokkaido University, Sapporo, Japan

183

 

 

 

15.00

PHOTOOXIDATION OF MERCAPTOLUMAZINES,

 

 

A. Heckel, W. Pfleiderer, University of Konstanz, Germany

184

 

 

 

15.15

NEW SYNTHETIC APPROACHES TO 1,4-BENZOTHIAZEPINES,

 

 

M. Sindler-Kulyk, D.C. Neckers, Bowling Green State University, Ohio, USA

185

 

 

 

15.30

DYE-SENSITYSED PHOTOOXYGENATION OF TRYPTOPHAN. FORMATION OF THE HYDROPEROXYPYRROLOLINDOLE AND FORMYLKYNURENINE,

187

 

M. Nakagawa, S. Kato, T. Hino, Chiba University, Japan

 

 

 

 

Intermission

 

 

 

 

SYMPOSIUM B: HETEROCYCLES IN ANTICANCER AND ANTIVIRAL RESEARCH

CHAIRMAN: J.A. Montgomery, Birmingham, USA

LOCAL ORGANIZER:  H. Griengl, Graz

 

 

 

16.15

METHOTREXATE: NEW FACTS ABOUT AN OLD DRUG (Main Lecture)

 41

 

J.A. Montgomery, Southern Research Institute, Birmingham, USA

 

 

 

 

17.00

SYNTHESIS, BIOLOGICAL AND CHEMOTHERAPEUTIC ACTIVITY OF SOME ADENOSINE ANALOGS (Main Lecture)

42

 

L.B. Townsend, C.S. Cheng, R.L. Carruth, T.L. Cupps, D.S. Wise, L.L. Wotring, University of Michigan, Ann Arbor, MI, USA

 

 

 

 

17.30

ANTIVIRAL, INTERFERON-INDUCING ARYLPYRIMIDONES AND THE SYNTHESIS OF A NEW CYCLOPROPYLPYRROLOINDOLE ANTITUMOR AGENT (Main Lecture)

 

 

W. Wierenga, Upjohn Company, Kalamazoo, MI, USA

43

 

 

MONDAY, AUGUST 24                              AUDITORIUM III

 

NATURAL PRODUCTS

Presiding: W. Klötzer, Innsbruck, Austria

 

14.00

SYNTHESIS OF DEOXYSEPIAPTERIN,

188

 

R. Bauer, W. Pfleiderer,University of Konstanz, Germany

 

 

 

 

14.15

SYNTHESIS OF 6-SUBSTITUTED AMINOPTERIDINE DERIVATIVES VIA 6-CHLOROPTERIN,

190

 

H.S. Broadbent, W. Pfleiderer, Brigham Young University, Provo, Utah, USA & University of Konstanz, Germany

 

 

 

 

14.30

APPROACHES TO THE SYNTHESIS OF ELLIPTICINE,

192

 

G.J. Koomen, M.J. Wanner, U.K. Pandit, University of Amsterdam, Netherlands

 

 

 

 

14.45

METALLOPORPHYRIN CATALIZED POLONOVSKI TYPE REARRANGEMENT AND REDUCTION WITH BENZYL-1,4-DIHYDRONICOTINAMIDEOF N,N-DIMETHYLANILINE N-OXIDE,

193

 

K. Fujimori, T. Takata, S. Fujiwara, S. Oae, University of Tsukuba, Ibaraki, Japan

 

 

 

 

15.00

SYNTHESIS AND BIOLOGICAL EVALUATION OF NAPHTHO(1,2-d)THIAZOLO(3,2-a)PYRIMIDINE DERIVATIVES,

194

 

K.C. Liu, School of Pharmacy, Nat. Def. Medical Center, Taipei, China

 

 

 

 

15.15

C-SUBSTITUTION ON THE PYRAZINE RING,

195

 

A. Ohta, Y. Akita, M. Shimazaki, Tokyo College of Pharmacy, Tokyo, Japan

 

 

 

 

15.30

POTENTIAL INTERMEDIATES FOR DITERPENE ALKALOIDS,

196

 

A.K. Banerjee, H.S. Hurtado, Centro de Química, I.V.I.C., Caracas, Venezuela

 

 

 

 

Intermission

 

Presiding: H.S. Broadbent, Provo, USA

 

 

 

 

16.15

SYNTHESIS AND REGIOSELECTIVE RING CLOSURE OF AN INDENO(1,2-d)PYRIDAZINE DERIVATIVE INTO A DIAZAGIBBANE,

197

 

H. Lahousse, H. Martens, G. Hoornaert, K.U. Leuven, Belgium

 

 

 

 

16.30

REACTION OF HETEROCYCLIC QUINOL ACETATES WITH ACETIC ANHYDRIDE IN THE PRESENCE OF ACIDS,

198

 

O. Hoshino, K. Kikuchi, H. Ogose, E. Kojima, C. Sawai, B. Umezawa, Sci. University of Tokyo, Japan

 

 

 

 

16.45

THERMAL CYCLIZATION OF ENAMIDES,

199

 

I. Ninomiya, O. Miyata, T. Naito Kobe Women's Coll. of Pharmacy, Kobe, Japan

 

 

 

 

17.00

THE EFFECT OF CONFIGURATIONAL AND CONFORMATIONAL CANGES FOR 13C-NMR IN TETRAHYDRO-l-α-SANTONIN AND THEIR DERIVATIVES WITH THIOACETAL AND ITS S-OXIDE GROUP,

201

 

T. Shibata, S. Inayama, Keio University, Tokyo, Japan

 

 

 

 

17.15

A TOTAL SYNTHESIS OF dl-ERYTHRALINE AND dl-ERYSOTRINE,

 

 

T. Sano, J. Toda, N. Kashiwaba, Showa College, Tokyo & Y. Tsuda, Kanazawa University, Japan

202

 

 

 

17.30

SYNTHETIC STUDY OF ERGOT ALKALOIDS, M. Natzume, H. Muratake, Res. Found. Itsuu Laboratory, Tokyo, Japan

203

 

 

 

17.45

STEREOSELECTIVE SYNTHESIS OF OPTICALLY ACTIVE α-TOCOPHEROL,

 

 

J.M. Akkerman, H. de Koning, H.O. Huisman, University of Amsterdam The Netherlands

204

 

 

MONDAY, AUGUST24                                 AUDITORIUM V

 

Presiding: J. Bergman, Stockholm, Sweden

14.00

SYNTHESIS AND DECOMPOSITION OF FUNCTIONALIZED DIAZIRIDIN-IMINES,

205

 

G. L'abbé, A. Verbruggen, University of Leuven, Belgium

 

 

 

 

14.15

2,4-BIS(ARYLAMINO)1,3,5-TRIARYLHEXAHYDRO-S-TRIAZINONES,

206

 

R. Richter, H. Ulrich, The Upjohn Company, North Haven, CT, USA

 

 

 

 

14.30

1,2-THIAZETANE 1,1-DIOXIDES – HOW TO SYNTHESIZE?

 

 

E. Meyle,H.-H. Otto, Albrecht-Ludwigs-Universitat, Freiburg, Germany

207

 

 

 

14.45

CHEMISTRY OF 4-MEMBERED CYCLIC NITRONES,

208

 

D.N. Reinhoudt, M.L.M. Pennings, Twente University of Technology, Enschede, Netherlands

 

 

 

 

15.00

TOTAL SYNTHESIS OF THE CARBAPENEM ANTIBIOTICS, THIENAMYCIN, EPITHIENAMYCIN AND PS-5 AND 6,

209

 

T. Kametani, Tohoku University, Sendai, Japan

 

 

 

 

15.15

SYNTHESIS OF OPTICALLY ACTIVE 6 –HYDROXYETHYLPENEMS,

211

 

F. Arcamore, C. Battistini, M. Foglio, G. Franceschi, F. Zarini, Farmitalia Carlo Erba SpA, Milan, Italy

 

 

 

 

15.30

SYNTHESE NOUVELLE DES PYRANNOBENZODIAZEPINES-l,5;

212

 

B. Kolli-Nedjar, M. Hamdi, Univ. d. Sci. & Technol., Alger, Algerie

 

 

 

 

Intermission

 

 

 

 

Presiding:  W. Friedrichsen, Kiel, Germany

 

 

 

 

16.15

3,4-DIHYDRO-1H-1,3,4-BENZOTRIAZEPINE-2,5-DIONES,

214

 

J.S. Davidson, North East London Polytechnic, London, England

 

 

 

 

16.30

REACTIONS OF AZACHALCONES WITH AMINES AND HYDRAZINES,

215

 

A. Attia, M. Michael, National Research Center, Dokki, Cairo, Egypt

 

 

 

 

16.45

THE N,N'-DIACYL-4,5-DIHYDROIMIDAZOLIUM ION AS ELECTROPHILE,

 216

 

J. Bergman, B. Sjöberg, Royal Inst. Of Techn., Stockholm, Sweden

 

 

 

 

17.00

THE REACTION OF N-CYANO-CARBONIMIDO-DITHIOIC ACID ESTERS WITH MONOSUBSTITUTED HYDRAZINES,

218

 

J. Reiter, T. Somorai, P. Sohar, Institute for Drug Research, Budapest, Hungary

 

 

 

 

17.15

HETEROCYCLES FROM ALLENES,

219

 

S.R. Landor, P.D. Landor, Z.T. Fomum, University of the West Indies, Kingston, Jamaica

 

 

 

 

17.30

THERMAL DECOMPOSITION OF THE OXIDATION PRODUCTS OF BIS-AROYL-HYDRAZONES OF b-DIKETONES. FORMATION OF PYRAZOLE DERIVATIVES

220

 

J. Stephanidou-Stephanatou, N.E. Alexandrou, University of Thessaloniki, Greece

 

 

 

 

17.45

SYNTHESIS AND CHEMISTRY OF 1,2-DISUBSTITUTED 4-BENZYLIDENE-2-IMIDAZOLIN-5-ONES AND THEIR THIONES,

221

 

M.Z.A. Badr, H.A.H. El-Sherief, M.E. Tadros, Assiut University, Assiut, Egypt

 

 

 

MONDAY, AUGUST 24           15.00-16.00             POSTER I

 

1.

AN INVESTIGATION OF THE REACTION BETWEEN PHOSPHORYL CHLORIDE AND 2-PICOLYL-N-OXIDE, TOGETHER WITH THE ATTEMPTED PREPARATION OF THE LATTER COMPOUND BY N-OXYDATION OF 2-PICOLYL CHLORIDE,

223

 

H.H. Barnes, F.R. Hartley, C.E.L. Jones, Royal Military Coll. of Sci., Shrivenham, England

 

 

 

 

2.

SYNTHESES OF QUINOLINO-CONDENSED INDOLES AND ISOQUINOLINES,

 

 

W. Stadlbauer, University of Graz, Austria

224

 

 

 

3.

HYDRIDE TRANSFER MECHANISM OF THE CONDENSATION REACTION BETWEEN 1-ARYL-1,4-DIHYDRO-3(2H)-ISOQUINOLINONES AND ALDEHYDES,

225

 

L. Hazai, Gy. Deák, G. Tóth, J. Volford, J. Tamás, Hungarian Academy of Sci. & Technical University, Budapest, Hungary

 

 

 

 

4.

REACTION OF REISSERT COMPOUNDS WITH ELECTROPHILIC ALKENES IN CATALYTIC TWO PHASE SYSTEM,

226

 

A. Jonćzyk, S. Lewandowski, M. Makosza, Technical University, Warsaw, Poland

 

 

 

 

5.

SUBSTITUTION OF PARTIALLY SATURATED AS-TRIAZINO(5,6-c)QUINOLINES,

227

 

E. Berényi, P. Sohár, L. Góra, Z. Dinya, EGYT Pharmacochem. Works, Budapest & Kossuth University, Debrecen, Hungary

 

 

 

 

6.

SELECTIVE REDUCTION OF 1-ARYL-2-CARBAMOYL-1,4-DIHYDRO-3(2H)-ISOQUINOLINONES,

228

 

E. Zára-Kaczián, K. Gall-Istók, Gy. Deák, G. Toth, Academy of Science & Technical University, Budapest, Hungary

 

 

 

 

7.

ORGANIC SYNTHESIS VIA BUTENOLIDES AND OXAZOLINONES,

230

 

N.F. Eweiss, University of Kuwait, State of Kuwait

 

 

 

 

8.

PREPARATION OF 4-HYDROXYIMINO-1,4-DIHYDRO-3(2H)-ISOQUINOLINONES AND INVESTIGATIONS ON THEIR REACTIONS,

232

 

I. Tikk, Gy. Deák, G. Tóth, Academy of Science & Technical University, Budapest, Hungary

 

 

 

 

9.

REACTIONS OF BENZOYL CYANIDE WITH SOME IMINE REATED COMPOUNDS,

233

 

M. Sakamoto, N. Furumi, Y. Akiyama, T. Akimoto, Y. Tomimatsu, Meiji Coll. Pharm. Tokyo & T. Date, Tanabe Seiyaku Co., Saitama, Japan

 

 

 

 

10.

THE STEREOSELECTIVE SYNTHESIS OF BENZO[a]QUINOLIZIDINE DERIVATIVES,

234

 

F. Vlaeminck, M. Van Marseni11e, G. Van Binst, Vrije Universiteit, Brussels, Belgium

 

 

 

 

11.

PYRIDAZINE-4,5-DICARBOXYLIC ACID ANHYDRIDE: A KEY INTERMEDIATE FOR HETEROSPIRO-RING SYSTEMS,

235

 

S. Chimichi, R. Nesi, CNR, Firenze, Italy

 

 

 

 

12.

FORMATION OF AMINOPYRIMIDINES FROM b-AMINOACYLAMIDINES - A NOVEL RING OPENING OF ISOQUINOLINES,

237

 

D. Korbonits, P. Kiss, P. Kolonits, CHINOIN Res. Centre & Techn. Univ., Budapest, Hungary

 

 

 

 

13.

ACETYLATION OF 3-METHYL-1,4-DIHYDRO-PYRIDO(3,4-e)AS-TRIAZINES HCl,

238

 

Gy. Lax, J. Gergely, P. Benkó, E. Mátrai, EGYT Pharmacochem. Works, Budapest, Hungary

 

 

 

 

14.

SYNTHESIS OF SOME TRIAZINO-1,2,3-BENZOTRIAZIN-4-ONES,

 

 

A.K. El-Shafei, Faculty of Science, Sohag University, Egypt

239

 

 

 

15.

TRANSFORMATION OF ACYLATED o-AMINOAMIDOXIMES,

240

 

D. Korbonits, I. Kanzel-Szvoboda, Cs. Gönczi, K. Horváth, CHINOIN Res. Centre, Budapest, Hungary

 

 

 

 

16.

SYNTHESES AND SPECTROSCOPIC FEATURES OF AZOLOBENZO-as-TRIAZINES,

241

 

S. Castillion, E. Meléndez, J. Vilarrasa, Universidad de Zaragoza & Barcelona, Spain

 

 

 

 

17.

THE EFFECT OF SUBSTITUENTS ON THE 3-AZIDOBENZO-as-TRIAZINE/TETRAZOLO-[5,1-c]BENZO-as-TRIAZINE/TETRAZOLO[1,5-b]BENZO-as-TRIAZINE EQUILIBRIUM

 242

 

S. Castillion, E. Meléndez, J. Vilarrasa, Universidad de Zaragoza & Barcelona, Spain

 

 

 

 

18.

STEREOCHEMISTRY OF 9-FORMYL-TETRAHYDRO-PYRIDO[1,2-a]PYRIMIDINES AND HOMOLOGUES,

243

 

A. Horvath, I. Hermecz, G. Tóth, J. Kökösi, A. Szöllösy, Z. Mészáros, CRINOIN & SOTE, Budapest, Hungary

 

 

 

 

19.

SYNTHESIS AND CONFORMATIONAL ANALYSIS OF STEREOISOMERIC 5-SUBSTITUTED PERHYDRO[2,1-b]QUINAZOLINONES,

244

 

F. Fülöp, G. Bernáth, G. Tóth, I. Hermecz, Z. Mészáros, University Szeged & CHINOIN, Budapest, Hungary

 

 

 

 

20.

ORIENTATION IN N-AMINATION OF QUINAZOLINE DERIVATIVES,

245

 

F. Bertha, K. Lempert, J. Fetter, J. Móller, J. Nyitrai, Technical University, Budapest & Odense University, Denmark

 

 

 

MONDAY, AUGUST 24           16.30-17.30            POSTER II

 

1.

THE SYNTHESIS OF SOME DERIVATIVES OF 2-SUBSTITUTED 4-QUINOLINE CARBOXYLIC ACIDS,

247

 

 

M. Jancevska, V. Aleksic, F. Anatasova, University of Skopje, Yugoslavia

 

 

 

 

2.

MILD OXIDATION OF SOME HETEROARYLHYDRAZINES,

 

 

G. Gaviraghi, M.Pinza, G. Pfifferi, I.S.F. Lab., Tezzano, Milan, Italy

248

 

 

 

3.

SYNTHESIS OF 1-MERCAPTO-METHYL ISOQUINOLINE DERIVATIVES,

249

 

M. H. Pap, K. Takács, CHINOIN Pharm. Chem. Works, Budapest, Hungary

 

 

 

 

4.

STUDIES ON THE CHEMISTRY OF PHARMACOLOGICALLY ACTIVE HETEROCYCLES. REACTION OF BENZIMIDAZOLE WITH DIKETENE,

 

 

M. Daneshtalab, Tehran, Iran

250

 

 

 

5.

SELECTIVITY IN THE NUCLEOPHILE SUBSTITUTION OF 4-SULFONYL-OXYPYRIMIDINE DERIVATIVES,

251

 

A. Vedres, T. Mester, Cs. Szántay, EGYT Pharmaco. Chem. Works & Technical University, Budapest, Hungary

 

 

 

 

6.

SYNTHESIS OF THIENO(3,2-c)PYRIDIN-4-OL AND THIENO(2,3-c)PYRIDIN-4-OL PREPARATION OF A TICLOPIDINE METABOLITE,

252

 

D. Frehel, J.P. Maffrand, SANOFI-RECHERCHE, Toulouse, France

 

 

 

 

7.

SYNTHESES OF OPTICALLY ACTIVE 6-METHYL-4-OXO-9-(PHENYLHYDRAZONO)-6,7,8,9-TETRAHYDRO-4H-PYRIDO[1,2-a]PYRIMIDINE-3-CARBOXYLIC ACIDS LABELLED WITH CARBON-14,

253

 

J. Engler, I. Hermecz, Z. Mészáros, Inst. for Drug Res. & CHINOIN Pharm. Chem. Works, Budapest, Hungary

 

 

 

 

8.

SYNTHESIS OF NEW DERIVATIVES OF THE BENZO[4,5]CYCLOHEPTA[l,2-b]THIOPHENE,

254

 

E. Arribas, J. Elguero, S. Vega, C.S.I.C., Madrid, Spain

 

 

 

 

9.

BROMOTHIOPRENE REACTIONS. FRIEDEL-CRAFTS ACYLATION AND REDUCTION WITH SIDE-CHAIN TRANSPOSITION,

255

 

S. Conde, A.S. Insua, C.S.I.C., Madrid, Spain

 

 

 

 

10.

STUDIES ON THE SYNTHESIS OF THIOPHENIC ANALOGS OF METOPROLOL AND PRACTOLOL,

 

 

S. Conde, C. Corral, J. Lissavetzky, C.S.I.C., Madrid, Spain

256

 

 

 

11.

NEW 1,3,4,-THIADIAZOLE CHEMISTRY,

257

 

H. Kristinsson, CIBA-GEIGY AG Basle, Switzerland

 

 

 

 

12.

EXPECTED AND UNEXPECTED RING OPENINGS OF FUSED THIAZOLIUM SALTS,

259

 

A. Messmer, Gy. Hajós, Academy of Science, Budapest, Hungary

 

 

 

 

13.

RING EXPANSION AND RING CONTRACTION REACTIONS OF LINEARLY AND ANGULARLY FUSED 1,3-BENZOTHIAZINE-b-LACTAMS,

260

 

L. Fodor,J. Szabó, G. Bernáth, P. Sohár, L. Párkányi, University of Szeged, EGYT Pharmacochem. Works & Academy of Sci., Budapest, Hungary

 

 

 

 

14.

REACTIONS OF 6,7-DIMETHOXY-2H-1,3-BENZOTHIAZINE WITH SUBSTITUTED ACETYLCHLORIDES,

261

 

L. Fodor, J. Szabó, G. Bernáth, P. Sohár, University Szeged & EGYT Pharmacochem. Works, Budapest, Hungary

 

 

 

 

15.

POLYCYCLIC HETEROCYCLES ON THE BASIS OF 1,1,3- AND 2,1,3-BENZOTHIADIAZOLES,

262

 

A. Hribar, S. Polanc, B. Stanovnik, M. Tisler, University of Ljubljana, Yugoslavia

 

 

 

 

16.

METHYLATION OF HETEROCYCLIC COMPOUNDS CONTAINING NH, SH and/or OH GROUP USING N,N-DIMETHYLFORMAMIDE DIMETHYLACETAL,

263

 

B. Stanovnik, M. Tisler, A. Hribar, University of Ljubljana, Yugoslavia & G.B. Barlin, D.J. Brown, Australian National Univ., Canberra, Australia

 

 

 

 

17.

REARRANGEMENT OF N-ACYLSPIROCYCLOALKYLBENZOTHIAZOLINES. A NEW EXAMPLE OF NITROGEN→CARBON ACYL MIGRATION,

264

 

G. Liso, G.Trapani, A. Latrofa, P. Marchini, Fac. di Farmacia, Bari, Italy

 

 

 

 

18

4H-1,4-BENZOTHIAZINES FROM ACTIVATED ACETYLENES,

265

 

G. Liso, G. Trapani, A. Reho, A. Latrofa, P. Marchini, Facoltà di Farmacia, Bari, Italy

 

 

 

 

19.

SULPHONE SYNTHESIS IN THIOPHENIC SERIES. MEISEMHEIMER’S COMPLEX,

266

 

P. Hurtel, B. Decroix-F., Terrier-J. Morel, Faculte des Sciences de Rouen, Mont Saint Aignan, France

 

 

 

 

20.

RING OPENING REACTIONS IN FUSED 1,2,6-THIADIAZINE DERIVATIVES,

267

 

P. Fernández-Resa, P. Goya, C. Ochoa, M. Stud, C.S.I.C., Madrid, Spain

 

 

 

 

21.

A NOVEL PROCEDURE FOR THE SYNTHESIS OF TRIPHENODITHIAZINES,

268

 

N. Nishi, K. Kitahara, Y. Hatada, Saitama University, Urawa, Japan

 

 

 

 

22.

ANNELATION OF 6-MEMBERED NITROGEN HETEROCYCLES VIA HETEROCYCLIC N-DIAZONIUM IONS,

269

 

U. Bergmann, R. Kreher, Technical University, Darmstadt, Germany

 

 

 

TUESDAY, AUGUST 25                               AUDITORIUM I

 

SYMPOSIUM A: MALONONITRILE IN HETEROCYCLIC SYNTHESIS

 

14.00

MALONONITRILE DERIVATIVES IN HETEROCYCLIC SYNTHESIS (Main Lecture)

27

 

F. Freeman, University of California, Irvine, USA

 

14.30

COMPLEX PRODUCTS VIA MALONONITRILE CYCLIZATTONS (Main Lecture)

28

 

E. Campaigne, Indiana University, Bloomington, USA

 

 

15.00-16.00

POSTER SESSION I

the following papers are part of SYMP. A:

1.

REACTIONS OF TETRACHLOROPYRAZINE WITH ACTIVE METHYLENE COMPOUNDS,

30

 

Y.C. Tong, Dow Chemical, Walnut Creek, CA, USA

 

 

 

 

2.

ON THE HETEROCYCLIZATION OF MALONONITRILE ADDUCTS,

31

 

J.L. Soto,V. Aran, C. Seoane, L. Fuentes, A. Lorente, M. Quinteiro, Universidad Complutense & Universidad Alcalá de Henares, Madrid, Spain

 

 

 

 

3.

SYNTHESIS OF 2-AMINO-4H-PYRANS FROM MALONONITRILE,

32

 

J.L. Soto, C. Seoane, N. Martin, H. Pérez, Universidad Complutense, Madrid, Spain

 

 

 

 

4.

SYNTHESIS OF PYRIDINES FROM MALONONITRILE DIMER,

33

 

L. Fuentes, J.L. Soto, Universities of Alcalá de Henares and Complutense, Madrid, Spain

 

 

 

 

5.

STUDIES IN THE CHEMISTRY OF 2-AMINO-4H-PYRANS,

34

 

C. Seoane, J.L. Soto, M. Quinteiro, B. Herradón, Universities of Complutense and Alcalá de Henares, Madrid, Spain

 

 

 

 

6.

SYNTHESIS OF 2- AND 4-PYRIMIDINETHIONES,

35

 

J.L. Garcia Navio, A. Lorente, J.L. Soto, Universities of Alcalá de Henares and Complutense, Madrid, Spain

 

 

 

 

7.

THE REACTION OF MALONONITRILE WITH ENAMINES OF b-KETO-CARBOTHIONIC ACID ANILIDES,

36

 

K. Bogdanowicz-Swed, K. Nagaba, Jagellionian University, Kraków, Poland

 

 

 

 

8.

HETEROPOLYCYCLIC MOLECULES. SYNTHESIS OF INDENONE, BENZO[b]THIOPHENE, ACRIDINE AND OXO-FLUORENO[4,3-b]THIOPHENE COMPOUNDS,

37

 

H.H. Moussa, S. Abdel-Meguid, National Research Center, Dokki, Cairo, Egypt

 

 

 

 

9.

SYNTHESIS WITH MALONONITRILE. SUBSTITUTED PYRANOBENZOPYRIDINES AND DIOXYTRIAZABENZONAPHTHACENE,

39

 

O.H. Hishmat, A.H. Abdel Rahman, N.M.A. El-Ebrasbi, Sh.E. El-Naem, National Research Center, Dokki, Cairo, and Mansoura University, Egypt

 

     
16.15 A NEW INDUSTRIAL PROCESS FOR MALONONITRILE  
  H. Marketz, LONZA Ltd., Basle, Switzerland,  
  followed by a Round Table Discussion on Malononitrile Chemistry  
     
17.30  ISHC Member Meeting  
     

 

 

 

TUESDAY, AUGUST 25                              AUDITORIUM II

 

SYMPOSIUM B: HETEROCYCLES IN ANTICANCER AND ANTIVIRAL RESEARCH

CHAIRMAN: J.A. Montgomery, Birmingham, USA

 

14.00

SYNTHESES OF NUCLEOSIDE ANALOGS USING GLYCOSYL ISOTHIOCYANAIES

45

 

H. Ogura, H. Takahashi, O. Sato, Kitasato University, Tokyo, Japan

 

 

 

 

14.15

SYNTHESIS OF PYRIMIDIN-2-ONE-4-THIONE DERIVATIVES VIA THE ANNULATION OF CYCLIC O-AMINONITRILES USING CARBONYLSULFIDE,

47

 

M.A. Hernandez, F.-L. Chung, R.A. Earl, L.B. Townsend, University of Michigan, Ann Arbor, MI, USA

 

 

 

 

14.30

SYNTHESIS AND BIOLOGICAL EVALUATION OF SOME 2'-DEOXYPYRIMIDINE C-NUCLEOSIDES,

48

 

J.C. Krauss, D.J. Pruess-Schwart, T.L. Cupps, D.S. Wise, L.B. Townsend, Univ. of Mich., Ann Arbor, MI, USA

 

 

 

 

14.45

SYNTHESIS AND ANTIVIRAL ACTIVITY OF CERTAIN 9-GLYCOSYLPURINE-6-CARBOXAMIDES AND RELATED COMPOUNDS,

49

 

G.R. Revankar, R.K. Robins, Cancer Res. Cent., Brigham Young Univ., Provo, Utah, USA

 

 

 

 

15.00

SYNTHESIS OF 2(2-DEOXY-D-ERYTHRO-PENTOFURANOSYL)THIAZOLE-4- CARBOXAMIDES AND THEIR RELATED NUCLEOSIDES AND THE DETERMINATION OF ANOMERIC CONFIGURATION OF 2'-DEOXY-D-RIBONUCLEOSIDES BY PMR,

51

 

P.C. Srivastava, R.K. Robins,Cancer Res. Cent., Brigham Young University, Provo, Utah, USA

 

 

 

 

15.15

SYNTHESIS OF 2',3'-DIDEOXYPURINNUCLEOSIDES AND THEIR SENSITIVITY AGAINST ACID,

53

 

R. Mengel, J.M. Seifert, CELAMERK, Ingelheim, Germany

 

 

 

 

15.30

SYNTHESIS OF RIBOSYL AND ARABINOSYL CYANIDES BY REACTION OF 1-O-ACYLATED SUGARS WITH CYANOTRIMETHYLSILANE,

54

 

F.G. de las Heras, P. Fernández-Resa, Inst. de Quim. Med., C.S.I.C, Madrid, Spain

 

 

16.30-17.30

POSTER SESSION II 21 CONTRIBUTED PAPERS

 

 

AS PART OF SYMPOSIUM B see page XXIV Abstracts

p. 82-105

17.30 ISHC Member Meeting  

 

 

 

TUESDAY, AUGUST 25                              AUDITORIUM II

 

ANNULENES, MACROCYCLIC COMPOUNDS

Presiding: F.D. Popp, Kansas City, MO, USA

 

16.15

SUBSTITUTION REACTIONS IN MONO-, DI-, TRI-, AND TETRAAZA(3.3.3.)CYCLAZINES,

273

 

O. Ceder, E. Andréasson, P.-O. Widing, Chalmers Inst. of Technology and University of Göteborg, Sweden

 

 

 

 

16.30

NEW HETEROCYCLIC PUSH - PULL - SYSTEMS WITH 1,6-METHANO-(10)-ANNULENE - FRAGMENTS,

275

 

R. Neidlein, H. Zeiner, University of Heidelberg, Germany

 

 

 

 

16.45

AZA 18 - AND AZA 14 ANNULENES,

276

 

G. Schröder, University of Karlsruhe, Germany

 

 

 

 

17.00

SYNTHESIS OF MACROCYCLIC EXTRACTION REAGENTS FOR LITHIUM,

277

 

S. Ogawa, Y. Arai, University of Tokyo, Japan

 

 

 

 

17.15

THE SYNTHESIS OF CHIRAL DIMETHYL AND DIPHENYL MACROCYCLIC POLYETHER-DIESTER LIGANDS,

279

 

J.S. Bradshaw, B.A. Jones, S.T. Jolley, F.G. Morin, D.M. Grant, Brigham Young University, Provo, Utah, & University of Utah, Salt Lake City, USA

 

     
17.30  ISHC Member Meeting  

 

 

 

TUESDAY, AUGUST 25                              AUDITORIUM III

 

SYMPOSIUM C: HETEROATOM DIRECTED METALLATION IN HETEROCYCLIC SYNTHESIS

CHAIRMAN: G.R. Newkome, Baton Rouge, USA LOCAL ORGANIZER: Th. Kappe, Graz

 

14.00

OPENING REMARKS TO THE SYMPOSIUM ON HETEROATOM DIRECTED METALLATION IN HETEROCYCLIC SYNTHESIS,

106

 

G.R. Newkome, Louisiana State Univers., Baton Rouge, USA

 

 

 

 

14.15

DIRECTING EFFECTS IN THE METALLATION OF THIOPHENES AND THE USE OF THIENYLLITHIUM DERIVYTIVES FOR THE SYNTHESIS OF UNSATURATED ALIPHATIC COMPOUNDS (Main Lecture),

 

 

S. Gronowitz, University of Lund, Sweden

106

 

 

 

15.00

SYNTHESIS AND CHEMISTRY OF NITROGEN CONTAINING AROMATIC ANIONS (Main Lecture),

107

 

U. Burger, F. Dreier, University of Geneva, Switzerland

 

 

 

Intermission

 

 

 

 

16.15

ASYMMETRIC SYNTHESES OF AMINO ACIDS VIA METALATED HETEROCYCLES(Main Lecture),

 

 

U. Schoellkopf, University of Göttingen

108

 

 

 

17.00

17α-SUBSTITUTED-3,17b-ESTRADIOLS VIA ADDITION OF TRIBUTYLSTANNYLVINYL OR TRIBUTYLSTANNYLHETEROARYL LITHIUM TO ESTRONE (Main Lecture),

109

 

J.C. Bottaro, R.N. Hanson, D.E. Seitz

 

     
17.30  ISHC Member Meeting  

  

 

TUESDAY, AUGUST 25                              AUDITORIUM IV

 

YLIDES

 

Presiding: J.L. Imbach, Montpellier, France

14.00

ACTIVATION OF AMINO-HETEROCYCLES BY THE DIPHENYLPHOSPHORYL GROUP,

280

 

H. Rudolph, R. Charubala, W. Pfleiderer, University of Konstanz, Germany

 

 

 

 

14.15

NEW METHOD FOR INTRODUCTION OF SUBSTITUENTS TO HETEROCYCLES VIA HETEROAROMATIC CATIONS,

282

 

Kin-ya Akiba, M. Wada, Hiroshima University, Japan

 

 

 

 

14.30

RING TRANSFORMATION OF 1,3-OXAZIN-4-ONES INTO PYRIDINE DERIVATIVES,

283

 

Y. YAMAMOTO, Y. MORITA, Tohoku Coll. Pharm., Sendai, Japan

 

 

 

 

14.45

SELF-CONDENSATION OF HETEROCYCLIC CARBOXAMIDES: AN EFFICIENT TOOL TO MORE COMPLEX HETEROCYCLES,

284

 

F. Babudri, L. Di Nunno, S. Florio, Università, Bari, Italy

 

 

 

 

15.00

SOME ENAMINE CYCLIZATION REACTIONS,

285

 

S. Carlson, A.A. El-Barbary, A.-B.A.G. Ghattas, S.-O. Lawesson, University of Aarhus, Denmark

 

 

 

 

15.15

HETEROCYCLES FROM ENAMINONES,

286

 

J.V. Greenhill, University of Bradford, England

 

 

 

 

15.30

SYNTHESIS, CHEMISTRY, AND SPECTROSCOPY OF QUINOLIZINE COMPOUNDS,

287

 

F. Hetényi, Z. Pál, A. Schwartz, K. Pusztay-Szabó, L. Szabó, I. Hermecz, Z Mészáros, Semmelweis Med. University & CHINOIN Pharm. Chem. Works, Budapest, Hungary

 

 

 

 

Intermission

 

 

 

 

Presiding: N. Alexandrou, Thessaloniki, Greece

 

16.15

PYRIDINETHIONES - THE 3-FORMYL-2(1H)-PYRIDINETHIONE AS A VERSATILE SYNTHON,

289

 

J. Becher, Odense University, Denmark

 

 

 

 

16.30

THE COBALT-CATALYSED SYNTHESIS OF 2-SUBSTITUTED PYRIDINES,

 

 

C. O'Murchu, LONZA AG, Visp, Switzerland

291

 

 

 

16.45

METHYLVINYL KETONE ANNULATION: A WAY TO THE STEREOSELECTIVE SYNTRESIS OF THE BENZO a CYCLOPENTA[c]QUINOLIZIDINE ISOMERS,

292

 

F. Vlaemink, G. Van Binst, Vrije Universiteit Brussel, Belgium

 

 

 

 

 

YLIDES

 

17.00

NOVEL RING TRANSFORMATIONS OF TRIOCHROMAN-4-ONES VIA YLIDE INTERMEDIATES,

293

 

Y. Tamura, S.M.M. Bayomi, Y. Takebe, C. Mukai, M. Ikeda, M. Murase, M. Kise, Osaka University & Nippon Shinyaku Co. Ltd. Kyoto, Japan, & Mansoura University, Egypt

 

 

 

 

17.15

REACTION OF QUINOLINE N-OXIDES WITH MELDRUMS ACID,

294

 

M. Hamana, S. Saeki, M.M. Yousif, Kyushu University, Fukuoka, Japan

 

 

TUESDAY, AUGUST 25                              AUDITORIUM V

 

CYCLOADDITIONS

Presiding: H. Ulrich, North Haven. CT, USA

 

14.00

2+2 CYCLOADDITION OF 4-SUBSTITUTED-1,2,4-TRIAZOLINE-3,5-DIONES TO VINYL ETHERS,

295

 

J.H. Hall, M.L. Jones, Southern Illinois University, Carbondale, USA

 

 

 

 

14.15

FREE RADICAL CONTAMINATION OF 4-SUBSTITUTED-1,2,4-TRIAZOLINE-3,5-DIONES,

296

 

J.H. Hall, W.E. Bigard, J.M. Fargher, M.L. Jones, Southern Illinois University, Carbondale, USA

 

 

 

 

14.30

1,3-DIPOLAR CYCLOADDITIONOR THE S-OXIDE AND S-DIOXIDE THIOPHENE AND BENZO(b)THIOPHENE DERIVATIVES: ISOXAZOLINES AND ISOXAZOLIDINES,

297

 

P. Geneste, R.Durant, D. Pioch, Ecole Nat. Sup. de Chime & Lab. de Chim. Org. Phys. Appl., Montpellier, France

 

 

 

 

14.45

CYCLOADDITION REACTION OF 3-CYANOINDOLIZINES WITH ELECTRON DEFICIENT ACETYLENES,

298

 

T. Uchida, K. Matsumoto, Kyoto University, Japan

 

 

 

 

15.00

KINETICS OF THE REACTION OF ETHOXYETHYLENES WITH 1-PHENYL-4-BENZYLIDENE-5-PYRAZOLINE. ACTIVATION ENERGIES VS. ENERGY GAINED IN THE CYCLOADDITION,

299

 

G. Desimoni, P.P. RIGHETTI, G. Tacconi, Università, Pavia, Italy

 

 

 

 

15.15

ARYL PYRAZOLON NITRONES: LUMO-CONTROLLED 1,3-DIPOLAR CYCLOADDITION WITH ETHYL VINYL ETHER,

 301

 

R. Commisso, G. Desimoni, G. Tacconi, M. Torresani, Università, Pavia, Italy

 

 

 

 

15.30

HETEROCYCLIC SYNTHESIS VIA NITRILE SULPHIDES,

303

 

D.J. Greig, R.M. Paton, J.F. Ross, J. Crosby, University of Edinburgh, Scotland and ICI Ltd., Mancester, England

 

 

 

 

Intermission

 

 

 

 

Presiding: H. Gotthard, Wuppertal, Germany

 

16.15

CHEMICAL REACTIVITY OF SOME ISOXAZOLIDINIUM CATIONS,

 304

 

A. Liguori, G. Sindona, N. Uccella, University of Calabria, Arcavacata, Italy

 

 

 

 

16.30

CYCLIC IMINES AS VERSATILE SYNTHONS IN HETEROCYCLIC CHEMISTRY,

306

 

U. Berger, G. Dannhardt, R. Obergrusberger, Universität Regensburg, Germany

 

 

 

 

16.45

VICINAL C,H SPIN COUPLING CONSTANTS IN THE STRUCTURE ELUCIDATION OF THE ADDUCTS FROM DMAD AND SUBSTITUTED INDOLES,

 307

 

R.M. Letcher, R.M. Acheson, University of Hong Kong, Hong Kong

 

 

 

 

17.00

NITRILE OXIDES. SYNTHESIS OF ISOXAZOLE DERIVATIVES FROM ACYLNITRILE OXIDES,

 308

 

I. Adachi, M. Murakami, Y. Hiramatsu, T. Yamamori, Shionogi & Co, Ltd., Fukushima-ku, Osaka, Japan

 

     
17.30  ISHC Member Meeting  

  

 

TUESDAY, AUGUST 25          15.00-16.00            POSTER I

for contributed papers No. 1-9 see SYMPOSIUM A, TUESDAY, page XVII

10.

THE POLAROGRAPHIC BEHAVIOUR OF SOME HETEROCYCLIC COMPOUNDS IN ACIDIC SOLUTIONS,

309

 

S.B. El-Maraghy, Ain-Shams University, Cairo, Egypt

 

 

 

 

11.

SYNTHESIS OF 1-CYANO-2-PERFLUOROALKYL-2-CHLOROETHYLENES AND HETEROCYCLIC COMPOUNDS BASED ON THE FORMERS,

311

 

A.Ya. Il'chenko, V.I. Krokhtyak, L.M. Yagupol'skii, Acad. Sci., Kiev, USSR

 

 

 

 

12.

RING CLOSURE OF PYRAZOLECARBOXYLIC ACID N'-ALKYL HYDRAZIDES WITH CARBONYL COMPOUNDS AND ORTHOESTERS,

312

 

E. Tihanyi, P. Dvortsák, M. Gal, Ö. Fehér, P. Sohár, Inst. f. Drug Research, Budapest, Hungary

 

 

 

 

13.

2-ALKOXY- AND 2-AMINO-4,6-DIOXODIHYDRO-1,3-THIAZINES,

313

 

V.G. Beylin, L.I. Khrul'kova, V.A. Gindin, L.B. Dashkevich, Chemico-Pharmac. Institute, Leningrad, USSR

 

 

 

 

14.

YLIDE FORMATION AND REARRANGEMENT IN THE THERMAL REACTION OF 6H-DIBENZO(bd)THIOPYRAN AND ITS 6-PHENYL DERIVATIVE WITH CARBENES,

315

 

L. Benati, P.C. Montevecchi, P. Spagnolo, Universita, Bologna, Italy

 

 

 

 

15.

IASINONES - NEW MESOIONIC 2-DIALKYLAMINO-1,3-DITHIOLYLIUM-ORTHO-QUINONEMETHIDES,

317

 

Al. Cascaval, Techn. Inst. of Iasi, Romania

 

 

 

 

16.

YLIDES OF MALONYL HETEROCYCLIC COMPOUNDS VIA IODONIUM-YLIDES,

 

 

E. Pongratz, G. Leitner-Korbuly, University of Graz, Austria

318

 

 

 

17.

SYNTHESES OF 1,6-NAPHTHYRIDINONES AND THIOPYRANO[2,3-b]PYRIDINES,

319

 

G. Zigeuner, K. Schweiger, D. Habernig, Inst. of Pharm. Chem., University of Graz, Austria

 

 

 

 

18.

CONVERSION OF D-FRUCTOSE TO 5-HYDROXYMETHYL-2-FURANE CARBOXALDEHYDE EFFECT OF MAJOR PARAMETERS IN A WATER/SOLVENT/ION EXCHANGE RESIN TRIPHASIC SYSTEM,

321

 

L. Rigal, J.P. Gorrichon, P. Gaset, France

 

 

 

 

19.

BIOLOGICAL ACTIVE NITROALKENES AND THEIR CLEAVAGE WITH ARYLENE-DIAMINES,

 

 

N. Latif, N. Mishrikey, F.M. Assad, S. Abdel Meguid,National Research Center, Cairo, Egypt

323

 

 

 

20.

CHEMICAL TRANSFORMATIONS, X-RAY AND MS INVESTIGATION OF CONDENSED SKELETON 1,3-OXAZIN-4-ONES,

325

 

G. Bernath, F. Fülöp, A. Kálmán, J. Tamás, Univ. Med. School, Szeged and Acad. Sci., Budapest, Hungary

 

 

 

 

21.

FACILE TOTAL SYNTRESIS OF RUTECARPINE,

326

 

J. Kökösi, I. Hermecz, A. Horváth, L. Vasvári-Debreszy, G. Szász, Z. Mészáros, SOTE Pharm. Chem. Inst. & CHINOIN Pharm. and Chem Works, Budapest, Hungary

 

 

 

 

22.

SYNTHESIS OF 5,7,11b,12-TETRAHYDRO-ISOINDOLO[2,1-b]ISOQUINOLINIUM METHIODIDES AND THEIR STEVENS REARRANGEMENT,

327

 

V.I. Ognyanov, M.A. Haimova, N.M. Mollov, University of Sofia, Bulgaria

 

 

 

 

23.

REARRANGEMENT OF ALKOXYMETHYLENE- AND AMINOMETHYLENE-HOMOPHTHALIC ANHYDRIDES INTO ISOCOUMARINES AND ISOQUINOLINONES,

329

 

O.S. Walfbeis, University of Graz, Austria

 

 

 

 

24.

DEHYDROACETIC ACID AS STARTING MATERIAL FOR THE SYNTRESIS OF NATURAL PRODUCTS. ON THE ACTIVATION OF THE C-6 METHYL GROUP,

330

 

R. Bacardit, M. Moreno-Manas, R. Pleixats, Univ. Autonoma de Barcelona, Spain

 

 

 

 

25.

NATURAL α-LACTONES FROM DEHYDROACETIC ACID. SYNTHESIS OF SOME SIGNIFICANT MOLECULES IN INSECT BEHAVIOUR,

331

 

R. Bacardit, M. Moreno-Manas, Universidad Autonóma de Barcelona, Spain

 

 

 

TUESDAY, AUGUST 25          16.30-17.30            POSTER II

THIS POSTER SESSION IS PART OF SYMPOSIUM B

1.

SYNTHESIS OF A NOVEL FRUCTOSE NUCLEOSIDE,

82

 

A.J. Freestone,University College of Bahrein, Bahrein

 

 

 

 

2.

ACYCLO-FORMYCIN A DERIVATIVES,

84

 

H. Griengl, F. Günzel,Techn. University, Graz, Austria

 

 

 

 

3.

C(6)-N(7)-CYCLIZED PURINES,

85

 

H. Griengl, W. Hayden, A. Plessing, Techn. University, Graz, Austria

 

 

 

 

4.

POTENTIAL ANTICYTOKININS:7-DEAZA-8-THIOADENINS,

86

 

U. Jordis, S.M. Hecht, F. Skoog, R.Y. Schmitz, Techn. Univ. Vienna, Austria, Univ. of Virginia, Charlottesville VA, Univ. of Wisconsin, Madison, USA

 

 

 

 

5.

A NEW HETEROCYCLIC REARRANGEMENT: TRANSFORMATION OF 1-SUBSTITUTED 4-ALKYLAMINO PYRROLO[3,2-c]PYRIDINES INTO 1-SUBSTITUTED 4-ALKYLAMINO PYRROLO[2,3-b]PYRIDINES (5-AZA to 7-AZA-INDOLES),

87

 

E. Bisagni, M. Legraverend, Institut Curie, Sect. Biol., Orsay, France

 

 

 

 

6.

SYNTHESIS AND CHARACTERIZATION OF S-TRIAZOLO[4,3-d] AND [1,5-d]-1,2,4-TRIAZIN-8-ONES,

88

 

M. Legrand, E. Bisagni, J.M. Lhoste,Institut Curie, Section de Biologie, Orsay, France

 

 

 

 

7.

NOVEL C-NUCLEOSIDE ANALOGUES DERIVED FROM IMIDAZO[1,5-a]-1,3,5-TRIAZINES,

89

 

B. Golankiewicz, J. Zeidler, P. Januszcyk, Polish Academy of Science, Poznań, Poland

 

 

 

 

8.

STUDIES ON NEW ROUTES FOR THE SYNTHESIS OF 4- AND 5-AMINOIMIDAZOLE NUCLEOSIDE DERIVATIVES,

90

 

M.T. Garcia-Lopez, R. Herranz, Instituto de Quimica Medica, Madrid, Spain

 

 

 

 

9.

AN APPROACH TO THE SYNTHESIS OF 8-AZA-3,9-DEAZA GUANOSINE VIA A NOVEL 1,3-DIPOLAR CYCLOADDITION REACTION,

91

 

J. Kobe, B. Rusjakovski, Boris Kidric Inst., Ljubljana, Yugoslavia and R.A. Earl, L.B. Townsend, University of Michigan, Ann Arbor, USA

 

 

 

 

1O.

SYNTHESIS OF SUBSTITUTED 1-GLYCOSYL-1,2,4-TRIAZOLES,

 92

 

M.J. Camarasa, F.G. de las Heras, Inst. Quim. Méd. (CSIC), Madrid, Spain.

 

 

 

 

11.

THE CHEMICAL AND SPECTRAL PROPERTIES OF DINUCLEOTIDE ANALOGUES,

93

 

K. Golankiewicz, A. Zasada-Parzyńska, J. Jankowska, Mickiewicz University, Poznań, Poland

 

 

 

 

12.

MASS SPECTROMETRY OF THIO ANALOGS OF THE PYRIMIDINE BASES,

94

 

E. Wyrzykiewicz, J. Antkoviak, K. Golankiewicz, Mickiewicz University, Poznań, Poland

 

 

 

 

13.

RADICAL METHYLATION OF CALF THYMUS DNA WITH TERT-BUTYLPERACETATE,

95

 

M.F. Zady, J.L. Wong, University of Louisville, Kentucky, USA

 

 

 

 

14.

HETEROCYCLIC AND CARBOCYCLIC QUINONES WITH THE N-OXIDE AND OXIRANE FUNCTIONS,

97

 

J. Młochowski, K. Kloc, J. Piatkowska, L. Syper, Technical University, Wroclaw, Poland

 

 

 

 

15.

STEREOCHEMISTRY AND SYNTHESIS OF B-N-HETEROCYCLES AS POTENTIAL ANTITUMOR AGENTS,

98

 

R. Csuk, H. Honig, Techn. Univ., Graz, Austria

 

 

 

 

16.

A NEW GUANOLIDE FROM CENTAUREA BEHEN L.,

99

 

A. Rustaiyan, A. Niknejad, National University of Iran, Teheran, Iran

 

 

 

 

17.

ANTIVIRAL ACTIVITY OF SOME NEW 1,9-PHENANTHROLINE DERIVATIVES,

100

 

U. Herzog, I. Ghazzouli, SANDOZ Research Inst., Vienna, Austria

 

 

 

 

18.

SYNTHESIS OF NEW HALOGENATED DERIVATIVES OF THIOSEMICARBAZONE AND THIAZOLIDINE ACETIC ACID WITH POTENTIAL ANTIVIRAL ACTIVITY,

101

 

P. Zupet, M. Globokar, M. Japelj, H. Vencerlj-Hren, KRKA-Pharmaceutical and Chem. Works, Novo Mesto, Yugoslavia

 

 

 

 

19.

SYNTHESIS OF TRANS-3,4-DIHYDROXY-3,4-DIHYDROBENZ[a]- AND –[c]ACRIDINES - POSSIBLE CARCINOGENIC METABOLITES OF POLYCYCLIC AZAARENES,

102

 

U. Engelhardt, Univ. Köln and M. Schaefer-Ridder, Martinsried, Germany

 

 

 

 

20.

ON THE MECHANISM OF THE RING OPENING - RING CLOSURE REACTION OF 3-SUBSTITUTED PYRIDINIUM SALTS AND AN AMINOSUGAR IN THE SYNTHESIS OF PYRIDINIUM NUCLEOSIDES,

103

 

E.J. Freyne, E.L. Esmans, J.A. Lepoivre, F.C. Alderweireldt, University of Antwerp (RUCA), Belgium

 

 

 

 

21.

FORMATION, SYNTHESES AND REACTIVITY OF QUINONYLPHENAZINOLES,

 105

 

R. Ott, E. Pinter, P. Kajtna, G. Fridrich, University of Graz, Austria

 

 

 

WEDNESDAY, AUGUST 26                            AUDITORIUM I

 

SYMPOSIUM D: HETEROCUMULENES IN HETEROCYCLIC SYNTHESIS

CHAIRMAN: E. Schaumann, Hamburg      LOCAL ORGANIZER: G. Kollenz, Graz

14.15

HETEROCYCLIC SYNTHESIS VIA THIOKETENES (Main Lecture)

123

 

E. Schaumann, University of Hamburg, Germany

 

 

 

 

15.00

POLYFUNCTIONAL HETEROCUMULENES AS A SYNTHON IN HETEROCYCLIC SYNTHESIS,

124

 

Y. Oshiro, T. Hirao, T. Agawa, Osaka University Suita, Osaka, Japan

 

 

 

 

15.15

CYCLOADDITION REACTIONS OF DIAZOAZOLES AS 1,ω-DIPOLES WITH HETEROCUMULENES,

125

 

G. Ege, K. Gilbert, R. Heck, S. Hirschmann, B. Lebert, University of Heidelberg, Germany

 

 

 

 

15.30

ACID-CATALYSED DIMERISATION OF TRIARYL KETENIMINES,

127

 

W.T. Flawers, A.L. Halls, University of Manchester, England

 

 

 

Intermission

 

 

 

 

16.16

KETENEIMINIUM SALTS IN HETEROCYCLIC SYNTHESIS (Main Lecture)

128

 

L. Ghosez, J. Marchand-Brynaert, M. Moya-Portuguez, S. Bodogan, M. Gillard, C. 't Kint, A.M. Frisque-Hesbain, Université de Louvain, Louvain-La-Neuve, Belgium

 

 

 

 

16.45

CYANOKETENE CYCLOADDITIONS (Main Lecture),

129

 

H.W. Moore,University of California, Irvine, CA, USA

 

 

 

 

17.15

HETEROCYCLES FROM CONCURRENT 1,2- AND 1,4-CYCLOADDITIONS TO VINYLHETEROCUMULENES (Main Lecture),

131

 

A. Dondoni,

 

 

University of Ferrara, Italy

 

 

 

WEDNESDAY, AUGUST 26                            AUDITORIUM I

 

SYMPOSIUM B:  HETEROCYCLES IN ANTICANCER AND ANTIVIRAL RESEARCH

14.00

SYNTHESIS AND SPECTRAL ANALYSIS OF CERTAIN CHELIDAMIC ACID DERIVATIVES AND RELATED COMPOUNDS,

56

 

M.M. El-Kerdawy, M.Y. Yousif, University of Mansoura, Egypt

 

 

 

 

14.15

SYNTHESIS OF ANTIVIRAL PERFLUOROALKYL-2-(4-NITROANILINO)-PYRIMIDINES,

58

 

A. Kreutzberger, B. Richter, Univers. Mainz, Germany

 

 

 

 

14.30

SYNTHESIS OF 4-AMINOTHIAZOLO QUINOLINES/QUINAZOLINES,

 

 

K. Datta, A.R.Banerjee, Indian Inst. of Technology, Kharagpu, India

59

 

 

 

14.45

SYNTHESIS AND METABOLIC STUDIES OF NITROSOCIMETIDINE AND STREPTOZOTOCIN, M. Abou-Gharbia, P.N. Magee, D. Swern, Fels Research Inst. and Temple University, Philadelphia, PA, USA

60

 

 

 

15.00

A SYNTHETIC APPROACH TO THE IMIDAZO[4,5-d]-1,3-DIAZEPINE SYSTEM,

61

 

D.C.J. Wu, R.P. Panzica, E. Abushanab, University of Rhode Island, Kingston, R.I., USA

 

 

 

 

15.15

SYNTHESIS AND BIOLOGICAL EVALUATION OF CONDENSED PYRIDAZINES,

62

 

S.-F. Chen, K.C. Argawal, J.D. Stoeckler, P. Calabresi, D.L. Dexter, M.-Y. W. Chu, R.E. Parks, R.P. Panzica, R.W. Hospital and Brown Univers. Providence, and Univ. of Rhode Island, Kingston, R.I., USA

 

 

 

 

15.30

NEW SYNTHESIS OF 5,11-DIHYDRO-6H-PYRIDO-[2,3-b]1,4 -BENZODIAZEPIN-6-ONE,

64

 

V. Sunjić, T. Fajdiga, M. Oklobdzija, R. Toso, T. Kova, F. Zanna, CRC, Chem. Res. Company, San Giovanni al Natisone, Italy

 

 

 

 

Intermission

 

 

 

 

16.15

SYNTHESIS OF NOVEL 2'-SUBSTITUTED AMINO-17-OXOESTRA-1(10),4-DIENO-(2,3-d)OXAZOLES AND 2'-SUBSTITUTED AMINO-17-OXO-ESTRA-1,5(10)-DIENO-(4,3-d)OXAZOLES AS POTENTIAL ANTICANCER AGENTS,

65

 

E.A. lbrahim, A.-M.M.E. Omar, N.S. Habib, O.M. Aboulwafa, Univ. of Alexandria, Egypt, and J. Bourdais, Fac. de Med. Nord, Marseille, France

 

 

 

 

16.30

SYNTHESIS OF N10-SUBSTITUTED QUINAZOLINE ANALOGUES OF FOLIC ACID AS INHIBITORS OF THYMIDYLATE SYNTHETASE,

67

 

T.R. Jones, A.H. Calvert, A.L. Jackman, K.R. Harrap, Institute of Cancer Research, London, England

 

 

 

 

16.45

THE SYNTHESIS OF POLYCYCLIC THIOPHENES, Y. Tominaga, R. Pratap, R.D. Thompson, M. Iwao, M.L. Lee, R.N. Castle, Brigham Young Univ., Provo, Utah USA

69

 

 

 

17.00

REACTIONS OF UNSUBSTITUTED AND N-SUBSTITUTED PHENANTHRENE 9,10-IMINE,

70

 

J. Blum, M. Weitzberg, Z. Aizenshtat, The Hebrew University of Jerusalem, Israel

 

 

 

 

17.15

SYNTHETIC APPLICATIONS OF N,N'-DIACYL-4,5-DIHYDROIMIDAZOLIUM ION: SYNTHESIS OF INDOLYL-3-PYRIDYL KETONES,

 71

 

J. Bergman, H. Goonewardella, Royal Institute of Technology, Stockholm, Sweden

 

 

 

 

17.30

PALLADIUM(II) COMPLEXES WITH BIS(CARBON-METAL) BONDS: LIGAND SYNTHESES, COMPLEXATION, X-RAY ANALYSES AND BIOCHEMICAL ACTIVITY,

73

 

G.R. Newkome, Louisiana State University, Baton Rouge, W.A. Deutsch, Louisiana State Univ., Baton Rouge, LA USA

 

 

 

WEDNESDAY, AUGUST 26                            AUDITORIUM III

 

SYMPOSIUM C:  HETEROATOM DIRECTED METALLATION IN HETEROCYCLIC SYNTHESIS

14.15

REGIOSELECTIVE ORTHO-LITHIATION OF 3-SUBSTITUTED PYRIDINES: DIRECTING EFFECTS OF THE DIFFERENT REACTION PARAMETER,

111

 

F. Marsais, M. Mallet, G. Quéguiner, Inst. Nat. Sup. de Chimie Industrielle de Rouen; Fac. des Sci. et des Techn. de Rouen, Mont Saint Aignan, France

 

 

 

 

14.30

SRN1 REACTIONS OF THE AMBIDENT ANIONS DERIVED FROM 2-CYANO Δ3-PIPERIDINES,

113

 

D.S. Grierson, M. Urrea, H.-P. Husson, C.N.R.S., Gif-sur-Yvette, France

 

 

 

 

14.45

THE ADDITION OF ORGANOLITHIUM REAGENTS TO NICOTINE,

114

 

C.G. Chavdarian, H.V. Secor, C.R. Howe, J.I. Seeman, Philip Morris USA Research Center, Richmond, Virginia USA

 

 

 

 

15.00

SYNTHETIC REACTIONS DIRECTED BY ORTHO-METALLATED BENZAMIDES (Main Lecture),

115

 

V. Snieckus, University of Waterloo, Ontario, Canada

 

 

 

 

Intermission

 

 

 

 

16.15

1,4-SUBSTITUTION REACTIONS OF HETEROAROMATICS VIA HETEROAROMATIC DIRECTIVITY,

116

 

G.R. Newkome, C. Marston, Louisiana State Univers., Baton Rouge, LA USA (Main Lecture)

 

 

 

 

16.45

ANOMALOUS AROMATIC LITHIATION REACTIONS (Main Lecture),

117

 

N.S. Narasinhan, M.V. Barve, S.P. Chandrachood, P.S. Chandrachood, University of Poona, Pune, India

 

 

 

 

17.15

SYNTHESES AND ANTIMICROBIAL ACTIVITY OF SOME SUBSTITUTED PYRIMIDO[5,4-c]QUINOLINES AND PYRIMIDO[5,4-c]QUINOLINES (Main Lecture),

118

 

A.C. Ranade, H.R. Deshpande, S.A. Phadke, Poona University, Pune, India

 

Papers 1-3 in the POSTER SESSION I

on Thursday (15.00-16.00) are Part of this Symposium.

 

 

WEDNESDAY, AUGUST 26                            AUDITORIUM IV

 

SYMPOSIUM E: HETEROCYCLES AS FLUORESCENT AGENTS

CHAIRMEN:  R. Raue, Leverkusen      LOCAL ORGANIZER: O.S. Wolfbeis, Graz

A.E. Siegrist, Basel

14.00

HETEROCYCLIC FLUORESCENT DYES (Main Lecture),

154

 

H.R. Schwander, Ciba-Geigy Ltd., Basle, Switzerland

 

 

 

 

14.15

SYNTHESIS OF HIGHLY FLUORESCENT PYRANO/2,3-c/ISOQUINOLINE-3,6-DIONES,

156

 

O.S. Wolfbeis, A. Knierzinger, I. Trummer, University of Graz, Austria

 

 

 

 

15.00

PYRIMIDINES AS STRUCTURAL ELEMENTS IN FLUORESCENT WHITENING

157

 

AGENTS, K. Burdeska, Ciba-Geigy Ltd. Basle, Switzerland

 

 

 

 

15.15

SYNTHESIS OF 4-CARBONYL-2-PHENYL-2H-1,2,3-TRIAZOLES,

158

 

G. Kabas, Ciba-Geigy Ltd., Basle, Switzerland

 

 

 

 

15.30

SYNTHESES OF SOME NEW HALOGENOFLUORANS,

 159

 

J. Gronowska, H. Dabkowska-Naskret, Copernikus University, Toruń, Poland

 

 

 

 

Intermission

 

 

 

 

16.15

HETEROCYCLIC LASER DYESTUFFS (Main Lecture),

160

 

R. Raue, Bayer AG, Leverkusen, Germany

 

 

 

 

16.45

SYNTHESIS OF FLUORESCENCE REAGENTS AND THEIR APPLICATION IN BIOLOGICAL STUDIES: THE AMINOCOUMARIN SYSTEM,

161

 

Y. Kanaoka, Hokkaido University, Sapporo, Japan

 

 

 

 

17.00

2-ACYLMETHYL- AND 2-ACYLMETHYLENE-1,3-DITHIOLO[4,5-b]QUINOXALINES HAVING SENSITIZING PROPERTIES,

162

 

V.N. Yelokhina, V.I. Smirnow, A.S. Nakhmanovich, I.D. Kalikhman, Siberian Div. USSR Acad. of Science, Irkutsk, USSR

 

 

 

 

17.15

DOING HETEROCYCLIC CHEMISTRY WITH VAT DYES,

163

 

E. Klingsberg, American Cyanamid Company, Bound Brook, N.J. USA

 

 

 

 

17.30

ABSORPTION SPECTRA AND PPP CALCULATIONS OF THE COUMARIN AND THE THIOCOUMARIN SERIES,

164

 

H. Nakazumi, T. Kitao, University of Osaka, Sakai, Japan

 

 

 

WEDNESDAY, AUGUST 26                            AUDITORIUM V

 

PHARM., MED, & BIOL,

Presiding: F. Sauter, Vienna, Austria

14.00

SYNTHESIS OF 'HANTZSCH-TYPE' 1,4-DIHYDROPYRIDAZINES,

335

 

G. Franckowiak, H. Meyer, Bayer AG, Wuppertal, Germany

 

 

 

 

14.15

SOME ANOMALOUS REACTIONS OF 4-QUINOLONE-5-DIAZONIUM SALTS,

336

 

J. Frank, P. Rákóczy, L. Radics, E. Gács-Baits, CHINOIN Pharm. Chem. Works, Hung. Centr. Res. Inst., Budapest, Hungary

 

 

 

 

14.30

STUDIES ON THE SYNTHESES AND REACTION OF PHENANTHROLINES,

337

 

Y. Hamada, I. Takeuchi, H. Furakawa, Meijo University, Nagoya, Japan

 

 

 

 

14.45

SOME POTENTIAL NEUROMUSCULAR BLOCKING AZASTEROIDS,

340

 

H. Singh, D. Paul, S.K. Saxena, Panjab University, Chandigarh, India

 

 

 

 

15.00

SYNTHESIS OF CERTAIN SUBSTITUTED ALKYL PYRIDINES OF PHARMACEUTICAL INTEREST,

342

 

K.M. Ghoneim, M.M. Ismail, Cairo University, Egypt

 

 

 

 

15.15

SOME REACTIONS OF 3-CYANO-4-CHLOROPHENYL-6-ARYL-2-THIOPYRIDONE & "AZACHROMONES" AND SOME STUDIES ON THEIR ANTIMICROBIAL ACTION,

344

 

A. Essawy, A.Z.M. Heikal, Zagazig University, Egypt

 

 

 

 

15.30

SYNTHESIS OF SOME NEW N-NICOTINOYLAMINO ACID, DI- AND TRI-PEPTIDE DERIVATIVES,

346

 

A.M. El-Naggar, F.S.M. Ahmed, F.Z.M. Yehia, Quatar University, Doha, QUATAR & Al-Azhar University, Cairo, Egypt

 

 

 

 

Intermission

 

 

 

 

Presiding: K. Akiba, Hiroshima, Japan

 

16.15

SYNTHESIS AND PROPERTIES OF A NEW PHENOTHIAZINE HETEROCYCLE,

348

 

C.O. Okafor, University of Nigeria, Nsukka, Nigeria

 

 

 

 

16.30

SYNTHESIS OF FUSED BENZ(b)THIOPHENES BY REARRANGEMENT OF SPIROSUBSTITUTED INTERMEDIATES,

350

 

F. Sauter, P. Stanetty, Technical University Vienna, Austria

 

 

 

 

16.45

A NOVEL REACTION OF 2,5-DICHLOROTHIOPHENE WITH SOME BENZENE DERIVATIVES IN THE PRESENCE OF ALUMINIUM CHLORIDE. FORMATION OF 4-ARYL-2-CHLOROTHIOPHENES,

 

 

T. Sone, M. Inoue, Yamagata University, Yonezawa, Japan

352

 

 

 

17.00

PARTIAL SYNTHESIS OF NEW MONOCYCLIC 4H-PYRAN-4-ONES,

353

 

J.H. Looker, M.D. Cliffton, University of Nebraska, Lincoln, USA

 

 

 

 

17.15

THERMAL CONDENSATION OF PHENOLS WITH ETHYL SALICYLATES: A NEW ONE STEP SYNTHESIS OF XANTHONES,

354

 

K.N. Trivedi, University of Baroda, India

 

 

 

 

17.30

A NOVEL COUMARIN RING MIGRATION IN THE HYDROLYSIS OF 3-BROMO-4-METHYLPYRANO(3,2-c)BENZOPYRAN-2,5-DIONE,

355

 

K.N. Trivedi, University of Baroda, India

 

 

 

WEDNESDAY, AUGUST 26        15.00-16.00              POSTER I

 

PHYSICAL METHODS, SYNTHESIS

1.

THE TAUTOMERIC STRUCTURE OF "BENZYL"-AMINOTHIAZOLINES AND THIAZINES,

356

 

J. Reiter, L. Toldy, P. Dvortsák, Gy. Argay, Kálmán, Inst. for Drug Research and Academy of Science, Budapest, Hungary

 

 

 

 

2.

MASS SPECTRA OF ISOMERIC N-SUBSTITUTED 3-METHYLTHIO-5-AMINO-1,2,4-TRIAZOLES,

358

 

J. Reiter, Gy. Jerkovich, T. Somorai, Inst. for Drug Research, Budapest, Hungary

 

 

 

 

3.

STRUCTURE ELUCIDATION OF ISOMERIC TRIAZOLO-PYRIMIDINONES,

360

 

L. Pongo, P. Dvortsák, J. Reiter, Inst. for Drug Res., Budapest, Hungary

 

 

 

 

4.

1H, 13C, 15N NMR INVESTIGATION OF ISOMERIC 1,2- AND 2,3-POLYMETHYLENE-PYRIMIDINE-4-ONES,

361

 

G. Tóth, I. Hermecz, J. Kökösi, A. Szöllös, G. Szász; Z. Mészáros, Techn. Univers., CHINOIN Pharm. and Chem. Works, SOTE Pharm Chem. Inst., Budapest, Hungary

 

 

 

 

5.

NMR STUDIES OF 5-, 7-, AND 8-ARYL-1,2,4-TRIAZOLO(4,3-c)PYRIMIDINES AND THEIR (1,5-c)-ISOMERS,

362

 

R.A. Hardy Jr., G.O. Morton, J.S. Baker, N.Q. Quinones, American Cyanamid Co., Lederle Lab., Pearl River, N.Y. USA

 

 

 

 

6.

1H-NMR SPECTRA OF 9-AMINO-ACRIDINES: THE CHEMICAL SHIFT OF 1,8 (PERI) PROTONS,

364

 

J.G. Schantl, W. Türk, University of Innsbruck, Austria

 

 

 

 

7.

COMPLEXATION OF NEUTRAL MOLECULES AND POLYFUNCTIONAL CATIONS BY CROWN ETHERS,

366

 

D.N. Reinhoudt. J. de Boer, H.J. den Hertog Jr, Twente University of Technology, Enschede, Netherlands

 

 

 

 

8.

REACTIVITY OF 5-VINYLISOXAZOLE - 2-VINYLTHIOPHENE COPOLYMERS WITH BASES,

367

 

V. Bertini, A. De Munno, N. Picci, M. Pocci, Univ. della Calabria, Cosenza, and Fac. di Sci. M.F.N., Pisa, Italy

 

 

 

 

9.

A RAPID METHOD FOR THE DETERMINATION OF POLYMETHOXYLATED FLAVONES BY REVERSE PHASE HIGH PERFORMANCE LIQUID CHROMATOGRAPHY,

369

 

J.P. Bianchini, S. Ramananario, E. Gaydou, Université, Marseille, France

 

 

 

 

10.

POLYMERIZATION OF SPIRO-ORTHOESTERS, INVESTIGATION ON THE MECHANISM OF POLYMERIZATION,

371

 

B. Thrathnigg, University of Graz, Austria

 

 

 

 

11.

APPLICATION OF MAGNETIC CIRCULAR DICHROISM. PROTONATION SITES IN AZAINDOLIZINES,

373

 

J.K. Waluk, J.W. Downing, J. Michl, University of Utah, Salt Lake City, USA and B. Stanovnik, B. Verček, M. Tišler, University of Ljubljana, Yugoslavia

 

 

 

 

12.

PHOTOELECTRON SPECTROSCOPY OF HETEROCYCLES. GAS-PHASE TAUTOMERISM OF SOME NITROGEN HETEROCYCLES,

374

 

B. Kovac, L. Klasinc, Rugjer Boskovic Inst., Zagreb, and B. Stanovnik, A. Hribar, M. Tišler, University of Ljubljana, Yugoslavia

 

 

 

 

13.

PROTONATION EQUILIBRIA OF SOME 2,3-DIARYL-2H-TETRAZOLIUM-5-THIOLATES IN PERCHLORIC ACID SOLUTIONS,

375

 

A.M. Kiwan, G.A. Wanas, University of Kuwait, State of Kuwait

 

 

 

 

14.

OPTICAL RESOLUTION AND STUDY OF ENANTIOMERIC MIXTURES OF SUBSTITUTED 2,3-BENZODIAZEPINES,

376

 

E. Fogassy, M. Acs, G. Tóth, J. Körösi, T. Lang, Tecnical Univ. and Pharm. Res. Inst., Budapest, Hungary

 

 

 

 

15.

STUDIES ON BEHAVIOUR OF ENANTIOMERIC MIXTURES,

377

 

M. Acs, F. Faigl, E. Fogassy, Technical University of Budapest, Hungary

 

 

 

 

16.

STERIC FACTORS IN HETEROCYCLIC REARRANGEMENTS. THE METHYL-PHENYL-HYDRAZONIC SEQUENCE IN 1,2,4-OXADIAZOLE AND ISOXAZOLE SERIES,

378

 

N. Vivona, G. Cusmano, G. Macaluso, V. Frenna, University of Palermo, Italy

 

 

 

 

19.

HYDROGENATION OF SOME FURAZANO(d)PYRIDAZINES; STRUCTURE AND TAUTOMERISM OF THE PRODUCTS,

380

 

H. Tondys, J. Lange, J.M. Kanabus-Kamińska, Technical University, Warsaw, Poland

 

 

 

 

20.

SYNTHESIS OF 5-ACYL-1,3-DIOXACYCLOHEXANS IN THE PRESENCE OF ION EXCHANGE RESINS; REACTION MECHANISM,

381

 

M. Delmas, Fac. de Sci. et Techn., SFAX, Tunesia; A. Denis, A. Gaset, Ecole Nat. Sup. de Chimie, Inst. Nat. Polytechn., Toulouse, France

 

 

 

 

21.

l3C NMR SPECTRAL STUDIES OF 2,5-DIMETHYL AND 2,5,9-TRIMETHYL-3,4:6,7-DIBENZOMORPHAN,

382

 

P. Jain, B.C. Joshi, J.W. Huffman, University of Rajasthan, Jaipur, India & Clemson University, Clemson S.C. USA

 

 

 

 

22.

ACID CATALYSED CONDENSATION OF POLYHYDROXYBENZALDEHYDES WITH ISOPRENE AND 2-METHYLBUT-3-ENE-2-OL LEADING TO AN ELEGANT METHOD FOR SYNTHESIS OF FORMYLCHROMANS: SYNTHESIS OF NATURALLY OCCURING PYRANOCOUMARINS,

383

 

V.K. Ahluwalia, K.K. Arora, R.S. Jolly, University of Delhi, India

 

 

 

 

23.

SYNTHESIS OF 2-BENZYLIDENE-5-ARYL-3(2H)-FURANONES FROM ACETYLENIC b-DIKETONES,

385

 

I.E. El-Kholy, M.M. Mishrikey, M.G. Marei, Alexandria University, Egypt

 

 

 

 

24.

REACTION OF 4H-PYRAN-4-ONES, ACETYLENIC b-DIKETONES AND 1,3,5-TRIKETONES WITH HYDROXYLAMINE,

386

 

I.E. El-Kholy, M.M. Mishrekey, G. Marei, University of Alexandria, Egypt

 

 

 

 

25.

REACTIVITY OF SOME N-CARBOXYLATE AND N-CARBODITHIOATE PYRAZOLE ALKYL ESTERS WITH NUCLEOPHILIC REAGENTS,

387

 

L. Rateb, M. F. Iskander, B. Azmy, University of Alexandria, Egypt

 

 

 

WEDNESDAY, AUGUST 26        16.30-17.30             POSTER II

 

SYNTHESIS

1.

FURANES FROM CYCLOPENTENONES BY OXIDATIVE DECARBOXYLATION,

388

 

E. Pohjala, J. Latinen, Farmos Group, Oulu & Helsinki Univ. of Technology, Espoo, Finland

 

 

 

 

2.

REACTIONS OF 2-ACYL-3-AMINO-BENZOFURANES WITH HYDRAZINE,

390

 

F. Gatta, G. Settimj, Ist. Sup. di Sanità, Rome, Italy

 

 

 

 

3.

THIONYL CHLORIDE AROMATIZATION,

392

 

L. Baiochi, M. Bonanomi, F. Angelini Research Institute, Rome, Italy

 

 

 

 

4.

SOME REACTIONS OF b-(5-METHOXY-2,3-DIPHENYL-6-BENZOFURANOYL)PROPIONIC ACID,

393

 

A.H. Abd el Rahman, M. Aiad, Mansoura University, Egypt

 

 

 

 

5.

SOME REACTIONS OF 3-(6-Methoxy-2,3-DIPHENYL-5-BENZOFURANYL)-5-PHENYL-2-CYCLOHEXENE-1-ONE DERIVATIVES,

395

 

A.H. Abd el Rahman, E.M. Kandeel, Mansoura University, Egypt

 

 

 

 

6.

UNCATALYZED ALKYLATION OF BENZENE DERIVATIVES BY α‑HALOGENOMETHYL-PYRROLES,

397

 

D. Cocco, C. Giancaspro, A. Monaci, G. Sleiter, University Rome, Italy

 

 

 

 

7.

BEHAVIOUR TOWARDS THE DEMETHYLATION OF 4,7-DIMETHOXYINDOLES AND EFFECT OF SUBSTITUENTS IN STABILIZING THE CORRESPONDING 4,7-DIHYDROXYINDOLES,

398

 

G. Malesani, G. Chiarelotto, M.G. Ferlin, S. Masiero, University and CNR, Padova, Italy

 

 

 

 

8.

A SHORT AND HIGHLY EFFICIENT SYNTHESIS DIHYDRO(a)QUINOLIZINONES BY IMINE-ENAMINE ANNELATION,

399

 

G. Palmisano, B. Danieli, G. Lesma, Università degli Studi and CNR, Milano, Italy

 

 

 

 

9.

SYNTHESIS AND SOME REACTIONS OF 1-ARYLISOINDOLES,

400

 

G.E.M. Moussa, M.N. Basyouni, M.E. Shaban, N.K. Al-Aasar, Ain-Shams Univ., Cairo, Egypt

 

 

 

 

10.

CHLORINATION OF PYRROLE WITH NaOCl. N-CHLOROPYRROLE: FORMATION AND REARRANGEMENT TO 2- AND 3-CHLOROPYRROLE,

402

 

M. De Rosa, Universidad Simon Bolivar, Caracas, Venezuela

 

 

 

 

11.

PREPARATION OF MONOHALOPYRROLES,

403

 

E. Aiello, G. Dattolo, G. Cirrincione, A.M. Almerico, Università, Palermo, Italy

 

 

 

 

12.

SYNTHESES BY 2-STYRYLBENZAZOLES AS ACCEPTORS IN MICHAEL REACTION,

405

 

V. Dryanska, C. Ivanov, University of Sofia, Bulgaria

 

 

 

 

13.

THE PREPARATION OF SOME NEW 3- AND 5-AMINOPYRAZOLES BY ENDOCYCLIC N-SUBSTITUTION OF 3(5)-AMINOPYRAZOLES,

406

 

S. Plescia, G. Daidone, M.L. Bajardi, Università di Palermo, Italy

 

 

 

 

14.

SYNTHESIS OF BI-PYRAZOLES AND THEIR APPLICATION AS TETRA OR BIDENTATE LIGANDS WITH Rh, Ir, Cc, AND Ni,

408

 

A. Cuadro, J. Elguero, P. Navarro, C.S.I.C., Madrid; M. Esteban, L.A. Oro, R. Uson, Univers. Zaragoza, Spain

 

 

 

 

15.

REACTION WITH BENZAMIDINE: SYNTHESIS OF UNSATURATED-2,4-DISUBSTITUTED 2-IMIDAZOLIN-5-ONES FROM ETHYL GLYCIDATES,

410

 

A. Marsura, C. Luu Duc, UER de Pharmacie de Grenoble, La Tronche, France

 

 

 

 

16.

REACTIONS WITH DIAZONIUM SALTS. SYNTHESIS OF SEVERAL NEW FUSED AZOLOTRIAZINE DERIVATIVES,

411

 

H. El-Kashef, K. Sadek, H. Alnima, M. Elnagdi, Assiut University, Egypt

 

 

 

 

17.

SYNTHESIS OF SOME 6-ARYLMETHYLENE-4,8-DIMETHOXY-4H-FURO[3,2-g]BENZOCOUMARIN-5-ONES AND THE ACTION OF GRIGNARD REAGENTS AND ARYLLITHIUM ON THEM,

412

 

M.H. Nosseir, N.L. Doss, M.A. Zayed, E.F. Iskander, National Rearch Center, Dokki, Cairo, Egypt

 

 

 

 

18.

SYNTHESIS AND OPTICAL RESOLUTION OF 2-ALKYL-2-(α-HYDROXY) ALKYL CHROMANS,

414

 

P. Bravo, C. Ticozzi, C.N.R., Politecnico, Milano, Italy

 

 

 

 

19.

SOME REACTIONS OF BENZOPYRAN-4-ONE DERIVATIVES,

415

 

N.M.A. El-Ebrashi, A.M. Nasef, A.M. Gohar, Nat. Res. Cent. Cairo and Minia Univ., Egypt

 

 

 

 

20.

SYNTHESIS OF NEW CONDENSED HETEROCYCLES FROM 4‑HYDROXYCOUMARINE,

417

 

M. Trkovnik, R. Djudjić, K. Krunić, M. Kules, V. Kaljaj, University Banja Luka, Yugoslavia

 

 

 

 

21.

REACTIONS OF PHENYLPYRYLIUM FLUOROBORATES WITH SULFENYLPHENACYLIDES, AND THERMAL REACTIONS OF THE FORMED 2‑SULFENYLHEPT-3,5-DIEN-1,7-DIONES AND 4-SULFENYLPHENACYL-4H-PYRANS,

418

 

T. Toda, A. Tokida, Y. Suzuki, T. Mukai, Tohoku University, Sendai, Japan

 

 

 

THURSDAY, AUGUST 27                              AUDITORIUM I

 

SYMPOSIUM D:  HETEROCUMULENES IN HETEROCYCLIC SYNTHESIS

14.00

SYNTHESIS OF AZAMODIFIED ADAMANTANE DERIVATIVES VIA AZIDE FUNCTIONALIZATION OF ADAMANTANE,

132

 

T. Sasaki, S. Eguchi, Nagoya University, Japan

 

 

 

 

14.15

THE SYNTHESIS OF BISCYCLIC ISOCYANATE DIMERS FROM MACROCYCLIC CARBODIIMIDES,

133

 

H. Ulrich, R. Richter, The Upjohn Company, North Haven, CT USA

 

 

 

 

14.30

ADDITION OF CHLOROSULPHONYLISOCYANATE (CSI) TO C-N AND C-C DOUBLE BONDS,

135

 

H. Suschitzky, University of Salford, England

 

 

 

 

14.45

SYNTHESIS OF THIAZOLES AND/OR IMIDAZOLES FROM ISOTHIOCYANATES AND TOSYLMETHYL ISOCYANIDE,

136

 

A.M. van Leusen, S.P.J.M. van Nispen, Groningen University, The Netherlands

 

 

 

 

15.00

HETEROCUMULENES IN CYCLISATION WITH N-ALKOXYCARBONYL-REISSERT COMPOUND CARBANIONS: FORMATION OF IMIDAZO[5,1-a]PHTHALAZINES AND RELATED SYSTEMS,

137

 

B.C. Uff, A.S. Mallard and G. Ghaem-Maghami, Loughborough Univers. of Technology, Leicestershire, England

 

 

 

 

15.15

SULFINES IN THE SYNTHESIS OF HETEROCYCLES (Main Lecture)

139

 

B. Zwanenburg, University of Nijmegen, The Netherlands

 

 

 

 

Intermission

 

 

 

 

PHARM., MED. & BIOL.

 

 

 

 

Presiding: D. Swern, Philadelphia, USA

 

16.15

DIMROTH-LIKE REARRANGEMENTS OF 5-, 7-, AND 8-ARYL-1,2,4-TRIAZOLO[4,3-c]PYRIMIDINES TO THEIR [1,5-c]ISOMERS,

421

 

R.H. Hardy Jr., J.S. Baker, G.O. Morton, N.Q. Quinones, American Cyanamid Co., Lederle Lab., Pearl River, New York USA

 

 

 

 

16.30

NOVEL ENTRY INTO PYRROLO[3,4-d]-1,2,3-TRIAZOLE SYSTEM,

 423

 

F.S.G. Soliman, M.G. Kassem, University of Alexandria, Egypt

 

 

 

 

16.45

SYNTHESIS OF 2,3-DIHYDRO-4H-1,4-THIAZINE-3-ONE 1-OXIDE AND 2,3-DIHYDRO-4H-1,4-THIAZIN-3-ONE 1,1-DIOXIDE, STRUCTURAL ANALOGS OF URACIL,

 425

 

M. Bobek, Roswell Park Memorial Inst., Buffalo, NY, USA

 

 

 

 

17.00

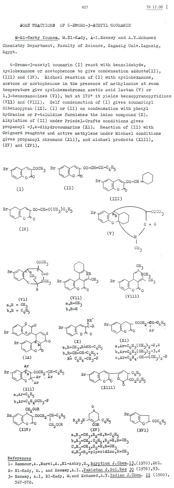
SOME REACTIONS OF 6-BROMO-3-ACETYL COUMARIN,

 427

 

M. El-G. Younes, M. El-Kady, A.I. Essawy, A.Y. Mohamed, Zagazig University, Egypt

 

 

 

 

17.15

SYNTHESIS OF NEW THIAZOLE- AND THIAZOLINE-AMINO ACID DERIVATIVES,

429

 

A.M. El-Naggar, F.S.M. Ahmed, M.S.M. Latif, Quatar University, Doha State of Quatar

 

 

 

 

17.30

SYNTHESIS OF SOME 4,8-DIMETHOXY-6-ARYLETHYLENE-4H-FURO[3,2-g]BENZOCOUMARIN-5-ONES OF PROPOSED BIOLOGICAL ACTIVITY,

431

 

M.H. Nosseir, N.L. Doss, M.A. Zayed, G. Aziz, Nat. Res. Cent., Dokki, Cairo, Egypt

 

 

 

 

17.45

INTRAMOLECULAR CYCLISATION OF 2-CARBAMOYLOXYNITROSTYRENES: A NEW ROUTE TO A NEWER SERIES OF 2,3-DIHYDROBENZOXAZINONES AND THEIR BIOLOGICAL ACTIVITIES,

432

 

N. Latif, N. Mishrikey, F.M. Assad, National Research Cent., Dokki, Cairo, Egypt

 

 

 

THURSDAY, AUGUST 27                             AUDITORIUM II

 

SYMPOSIUM B:  HETEROCYCLES IN ANTICANCER AND ANTIVIRAL RESEARCH

14.00

SYNTHESIS OF 7-DEAZANUCLEOSIDES BY PHASE TRANSFER GLYCOSYLATION AND THEIR FUNCTION IN POLYNUCLEOTIDES (Main Lecture)

74

 

F. Seela, University of Paderborn, Germany

 

 

 

 

14.30

HETERO-DIELS-ALDER REACTIONS WITH ELECTRON RICH 1,3‑DIENES,

75

 

R.R. Schmidt, R. Angerbauer, W. Abele, University Konstanz, Germany

 

 

 

 

14.45

SYNTHESES AND PROPERTIES OF PURINOPRANES,

76

 

F. Rama, Y. Sakata, S. Misumi, Osaka University, Suita, Osaka, Japan

 

 

 

 

15.00

SYNTHESIS AND STRUCTURAL ELUCIDATION OF SUBSTITUTED 1,4,6,7-TETRAHYDROIMIDAZO[1,2-a]PURIN-9-ONES,

77

 

J.P. Yevich, D.L. Temple, J.D. Catt, D. Owens, C. Hanning, R.R. Covington, P.C. Johnson, Mead Johnson Pharmaceuticals, Evansville, Indiana USA

 

 

 

 

15.15

SYNTHESIS AND ACTIVITY OF POTENTIAL ANTITUMOR ALKYLATING AGENTS BASED ON 2-AZAADAMANTANE,

79

 

J.G. Henkel, W.C. Faith, J.T. Hane, University of Connecticut, Storrs, CT USA

 

 

 

 

15.30

GLYCIDYLOXYPROPIOLACTONES - NEW POTENTIAL ANTICANCER AGENTS,

81

 

M. Kowalczuk, Z. Jedliński, Inst. of Polymers, Polish Acad. of Science, Zabrze, Poland

 

 

 

 

Intermission

 

 

 

 

Presiding: A.J. Boulton, Norwich, England

 

16.15-17.15

MORE APPLICATIONS OF PYRIDINIUM SALTS IN SYNTHESIS (Main Lecture)

420

 

A.R. Katritzky, University of Florida, Gainesville, USA

 

 

 

 

THURSDAY, AUGUST 27                             AUDITORIUM III

 

Presiding:  R.P. Panzica, Kingston, USA

14.00

THE PYRROLO(1,2-a)QUINOXALINE REISSERT COMPOUND,

434

 

F.D. Popp,S. Veeraraghavan, Univ. of Missouri, Kansas City, USA

 

 

 

 

14.15

NEW SYNTHETIC APPROACHES FOR SOME AZOLOPYRAZINES,

435

 

M. Kočevar, B. Verček, B. Stanovnik, M. Tišler, Univ. Ljubljana, Yugoslavia

 

 

 

 

14.30

POLYSUBSTITUTED HETEROCYCLES AS VERSATILE INTERMEDIATES IN THE SYNTHESIS OF FUSED SYSTEMS,

436

 

B. Stanovnik, B. Koren, S. Polanc, V. Stibilj, A. Štimac, M. Tišler, Univ. Ljubljana, Yugoslavia

 

 

 

 

14.45

REACTION OF CHLORAL HYDRATE WITH CYANOGUANIDINE,

437

 

K.H. Pilgram, R.D. Skiles, E.J. Silveira, L.H. Gale, Shell Development Company, Modesto, California USA

 

 

 

 

15.00

"P-URAZINE" AND RELATED TETRAZINE DERIVATIVES,

438

 

H. Fischer, C. Krieger, F.A. Neugebauer, R. Siegel, Max-Planck-Institut f. Med. Forschung, Heidelberg, Germany

 

 

 

 

15.15

SYNTHESIS, STRUCTURE AND STABILITY OF 2-(R-AMINO)-1,4-DIHYDROPYRIMIDINES AND 2-(R-AMINO)PYRIMIDINES,

439

 

W. Wendelin, K. Schermanz, University of Graz, Austria

 

 

 

 

15.30

CHEMISTRY OF TRIAZINONE DERIVATIVES, M.Z.A. Badr, M.M. Aly, Z.H. Khalil, A.A. Attalla, Assiut University, Egypt

441

 

 

 

Intermission

 

 

 

 

Presiding: K. Matsumoto, Kyoto, Japan

 

16.15

ANELLATED THIATRIAZINO-INDOLIZINES,

442

 

J. Dusemund, E. Kröger, Freie Universität, Berlin, Germany

 

 

 

 

16.30

SIMPLE METHOD FOR THE SYNTHESIS OF ISOINDOLES,

443

 

M.J. Haddadin, V. Yaylayan, M. Samaheh, American Univ. of Beirut, Lebanon

 

 

 

 

16.45

ABNORMAL MICHAEL REACTION OF ACYCLIC 1,3-DICARBONYL COMPOUNDS WITH NITROOLEFINS. A NOVEL PYRROLE SYNTHESIS,

444

 

A. Gómez-Sánchez, B. Marco, R. Fernandez, C. Pascual, J. Bellanato, Universidad de Sevilla, C.S.I.C., Seville and Madrid

 

 

 

 

17.00

POLYCONDENSED NITROGEN HETEROCYCLES, PYRROLO[3,2-b]INDOLES,

446

 

E. Aiello, D. Dattolo, C. Cirrincione, A.M. Almerico, Università, Palermo, Italy

 

 

 

 

 

 

 

17.15

SUBSTITUTION OF 2H-ISOINDOLES AND ANNELATED(4n+2)π-HETARENES,

448

 

R. Kreher, G. Use, Mediz. Hochschule Lübeck, Germany

 

 

 

 

17.30

AROMATIC AND HETEROCYCLIC DINITRILES AND THEIR POLYMERS, VII: THE SYNTHESIS, SEPARATION AND STRUCTURAL DETERMINATION OF THE ISOMERIC QUINOXALINE DINITRILES,

450

 

Li-ben Wang, Zhi-tang Huang, Academia Sinica, Beijing, China

 

 

 

 

17.45

THE REACTION OF INDOLIZINES WITH TRIFLUOROMETHYLSULFENYL CHLORIDE,

451

 

J. Mirek, Jagellonian University, Kraków, Poland; A. Haas, Ruhr-University, Bochum, Germany

 

 

 

THURSDAY, AUGUST 27                             AUDITORIUM IV

 

SYMPOSIUM E: HETEROCYCLES AS FLUORESCENT AGENTS

14.00

HETEROCYCLIC FLUORESCENT WHITENING AGENTS (Main Lecture)

165

 

H. Harniseh, Bayer AG, Leverkusen, Germany

 

 

 

 

14.45

PHENANTHROIMIDAZOLE-2-AMINE: PHYSICOCHEMICAL PROPERTIES AND REACTIVITY,

 

 

C. Parini, A. Ius, C.N.R., Milano, Italy

167

 

 

 

15.00

1-CHLOROMETHYL-AND 1-ISOTHIOCYANOMETHYLBENZ(c,d)INDOL-2(1H)-ONE, NEW REAGENTS FOR THE IDENTIFICATION AND FLUORODENSITOMETRIC DETERMINATION OF CARBOXYLIC ACIDS, ALCOHOLS AND AMINES,

168

 

W. Wendelin, G. Gübitz, University of Graz, Austria

 

 

 

 

15.15

BIS-HETARYL-NAHPTHALENES - SYNTHESIS AND SPECTRAL PROPERTIES,

169

 

E. Sehinzel, H. Frischkorn, Hoechst AG, Frankfurt, Germany

 

 

 

 

15.30

THE REACTION OF 4-CHLORO-7-NITRO-, AND 4-CHLORO-7-SULFO-BENZOFURAZAN WITH THIOL COMPOUNDS OF BIOLOGICAL INTEREST,

170

 

J.L. Andrews, P. Ghosh, B. Ternai, University of Sydney and La Trobe University, Bundoora, Vic., Australia

 

 

 

 

Intermission

 

 

 

 

16.15

SYNTHETIC APPROACHES TO FLUORESCENCE HETEROCYCLES (Main Lecture)

173

 

S. Seshadri, University of Bombay, India

 

 

 

 

16.45

FARBSTOFFE FÜR FLUORESZENZ-SOLARKOLLEKTOREN,

174

 

H. Langhals, Universität Freiburg, Germany

 

 

 

THURSDAY, AUGUST 27                             AUDITORIUM V

 

PHYSICAL METHODS

Presiding: H. Sterk, Graz, Austria

14.00

13C SPIN-LATTICE RELAXATION TIMES OF CEPHALOSPORINS,

452

 

Y. Takeuchi, The University of Tokyo, Japan

 

 

 

 

14.15

15N NMR SPECTRA OF BRIDGEAD NITROGEN COMPOUNDS,

453

 

Y. Takeuchi, T.A. Crabb, Univers. of Tokyo, Japan; Portsmouth Polytechnic, England

 

 

 

 

14.30

CONFORMATIONAL ANALYSIS AND CONFIGURATIONAL EQUILIBRIA OF N-NITROSO-DECAHYDROQUINOLINES,

454

 

F.W. Vierhapper, Univers. Vienna, Austria

 

 

 

 

14.45

CARBON-13 NMR SPIN-LATTICE RELAXATION TIMES AND MOLECULAR MOTIONS OF THE NOVEL NOOTROPIC AGENT PIRACETAM (2‑OXOPYROLIDIN-1-YLACETAMIDE,

455

 

A. Grassi, L. Guidoni, M. Nicolini, G.C. Pappalardo, V. Viti, Univ. di Catania; Ist. Sup. di Sanità, Roma; Univ. Padua, Italy

 

 

 

 

15.00

THE PROBLEM OF VALENCE-TAUTOMERISM IN TRITRIAPENTALENE-LIKE SYSTEMS STUDIED BY 1H AND 13C NMR SPECTROSCOPY IN NONISOTROPIC PHASES,

457

 

C.T. Pedersen, T. Bjorholm, J.P. Jacobsen, Odense Univ., Denmark

 

 

 

 

15.15

STRUCTURE OF 2,4-DIHYDRO-5-METRYL-4-(ARYLAMINO)-METHYLENE-3H-PYRAZOL-3-ONES,

458

 

L.A. Sunnners, J.E. Rockley, University of Newcastle, New South Wales, Australia

 

 

 

 

15.30

STRUCTURE ELUCIDATION OF ACYLATED 1,2,4-TRIAZOLES BY 1H- AND 13C NMR SPECTROSCOPY,

459

 

P. Dvortsák, J. Reiter, L. Pongo, Institute for Drug Research, Budapest, Hungary

 

 

 

 

Intermission

 

 

 

 

Presiding: Y. Takeuchi, Tokyo, Japan

 

16.15

SYNTHESIS AND SULFITE CLEAVAGE OF NOVEL COMPOUNDS RELATED TO OLIGOMERS FROM THIAMIN,

461

 

J.A. Zoltewicz, G.M. Kauffman, University of Florida, Gainesville, USA; G. Uray, University Graz, Austria

 

 

 

 

16.30

EFFECTS OF NEIGHBOURING PYRIDINIUM GROUPS ON THE BASE-CATALYZED HYDROLYSIS OF N-(CARBOXYARYL) BENZYLPYRIDINIUM BROMIDES,

462

 

D.A. de Bie, G. Geurtsen, J.F.J. Engbersen, H.C. van der Plas, Agricult. University, Wageningen, The Netherlands

 

 

 

 

16.45

UNIFIED DESCRIPTION OF META, PARA SUBSTITUENT EFFECTS ON PYRIDINE AND BENZENE REACTIVITIES,

464

 

M. Sawada, Y. Takai, T. Hanafusa, Y. Tsuno Osaka University, Suita, Osaka, Japan

 

 

 

 

17.00

BOND SWITCH AT π-HYPERVALENT SULFUR- KINETIC STUDY OF REVERSIBLE RING TRANSFORMATION OF 1,2,4-THIADIAZOLE SYSTEM,

465

 

Kin-ya Akiba, Y. Yamamoto, Hiroshima University, University of Tokyo, Japan

 

 

 

 

17.15

GAS-PHASE ALKYLATION OF FIVE-MEMBERED AROMATIC HETEROCYCLES,

466

 

G. Angelini, M. Speranza, Ist. Chim. Nucl., CNR, Roma, Italy

 

 

 

 

17.30

REGIOSELECTIVE SYNTHESIS OF 3,5-DISUBSTITUTED ISOXAZOLES CONTROLLED BY THE BASE,

468

 

C. Kashima, N. Yoshiwara, S. Shirai, University of Tsukuba, Ibaraki, Japan

 

 

 

 

17.45

TAUTOMERISM IN DIHYDROPYRIMIDINE SYSTEMS,

469

 

A.L. Weis, Weizman Institute of Science, Rehovot, Israel

 

 

 

THURSDAY, AUGUST 27                                POSTER I

 

The first 3 papers are part of Symposium C:

1.

THE REACTION OF SOME ORGANOMETALLIC COPPER REAGENTS WITH 2(5H)-FURANONE. THE PREPARATION OF 3-METHYL- AND 3‑PHENYLBUTYROLACTONE,

120

 

R. Sjöholm, K. Lindeberg, Abo Akademi, Turku, Finland

 

 

 

 

2.

REACTIVITY OF ISOTELLURAZOLE DERIVATIVES,

121

 

F. Lucchesini, V. Bertini, Università della Calabria, Arcavacata di Rende (Cosenza), Italy

 

 

 

 

3.

GENERAL SYNTHESIS OF 9,10-DIALKOXY BERBERINE ALKALOIDS AND 1-SUBSTITUTED 7,8-DIALKOXY TETRAHYDROISOQUINOLINES,

119

 

N.S. Narasimhan, R.S. Mali, B.K. Kulkarni, University of Poona, Fune, India

 

 

 

 

4.

SYNTHESIS AND PHARMACOLOGICAL PROPERTIES OF SOME DIHYDROIMIDAZO[1,2-c]PYRIMIDINE DERIVATIVES,

470

 

A. Długosz, Z. Machoń, Med. University, Wroclaw, Poland

 

 

 

 

5.

SYNTHESIS OF 1H-(1,2)DIAZEPINO[4,5-b]INDOLE DERIVATIVES,

471

 

A. Monge Vega, M.T. Martinez, J.A. Palop, J.M. Mateo, E. Fernandez-Alvarez, Universidad de Navarra, Pamplona; C.S.I.C. Madrid, Spain

 

 

 

 

6.

RING TRANSFORMATION AND CHEMICAL REACTIVITY OF THE REACTION PRODUCT OF BENZIMIDAZOLE WITH DIKETENE,

473

 

M. Daneshtalab, H. Khodabandelou, A. Eliasi, University of Tehran, Iran

 

 

 

 

7.

SYNTHESIS OF SOME PYRAZOLINO-1,5-benzo(2,3-b)DIAZEPINES,

474

 

A.K. El-Shafei, H.S. El-Kashef, A.M. El-Khawaga, Universities of Sohag and Assiut, Egypt

 

 

 

 

8.

SYNTHESIS OF BENZOFURO[3,2-e][1,4]DIAZEPINES,

475

 

F. Gatta, G. Settimj, Ist. Stipo di Sanità, Rome, Italy

 

 

 

 

9.

3-AMINO- AND 3-HYDROXY-1,4-BENZODIAZEPINE,

476

 

R. Eccel, R. Stradi, M.L. Saccarello, B. Gioia, E. Arlandini; Università, Medea Researches, Farmitalia-C. Erba, Milano

 

 

 

 

10.

BENZODIAZEPINE ANALOGUES,

478

 

S.A. Black-Roberts, G.W.H. Cheeseman, A.A. Hawi, Queen Elizabeth Coll., Univ. of London, England

 

 

 

 

11.

SYNTHESIS AND REACTIONS OF 1,5-BENZODIAZEPINE-3-CARBONITRILE DERIVATIVES,

479

 

K. Takagi, Y. Okamoto, Zeria Pharm. Co., Kitasato Univers. Tokyo, Japan

 

 

 

 

12.

SYNTESIS OF SOME EBURANE INDOLE ALKALOID ANALOGS,

480

 

L. Diatta, C. Warolin, C. Thal, LERS, Bagneux; CNRS Gif-sur Yvette, France

 

 

 

 

13.

SYNTHESIS OF A NEW PYRAZOLO[3,4-b]BENZAZEPIN-4,9-DIONE,

481

 

G. Daidone, S. Plescia, Università di Palermo, Italy

 

 

 

 

14.

SYNTHESIS OF SOME NEW ARYL- AND ARALKYLMERCAPTOBENZOXAZOLE, BENZIMIDAZOLES AND BENZTHIAZOLES OF BIOLOGICAL INTEREST,

482

 

A.M. Mahmoud, S.R. El-Ezbawy, A.A. Abdel-Wahab, H.A.H. El-Sherief, Assiut Univ., Egypt

 

 

 

 

15.

SYNTHESIS OF 7,11-DITHIAAZASTEROID ANALOGUES,

484

 

V. Cecchetti, A. Fravolini, F. Schiaffella, Ist. di Chim. Farm. e Tecnica, Perugia, Italy

 

 

 

 

16.

SYNTHESIS OF 6- i.e. 7-AMINO-2,4-DITHIO-DIHYDRO-1,3-BENZOXAZINES,

485

 

M. Jancevska, L. Jovevska, University Skopje, Yugoslavia

 

 

 

 

17.

SYNTHESIS OF HETEROCYCLIC PROSTAGLANDIN ANALOGUES,

486

 

P. Barraclough, A.G. Caldwell, C.J. Harris, R.W. King, N. Whittacker, Wellcome Res. Lab., Beckenham, Kent, England

 

 

 

 

18.

5,6-DISUBSTITUTED IMIDAZO[2,1-b]THIAZOLES AS POTENTIAL ANTIINFLAMMATORY AGENTS,

487

 

A. Andreani, D. Bonazzi, M. Rambaldi, Univers. of Bologna, Italy; K.D. Rainsford, University of Tasmania, Australia

 

 

 

 

19.

NEW SYNTHESIS OF CHALCOGENO CHROMONES,

488

 

A. Luxen, L. Christiaens, M. Renson, University of Liège, Belgium

 

 

 

 

20.

REACTION OF AMIDINES WITH SODIUM BOROHYDRIDE IN AQUEOUS MEDIA. A NEW METHOD FOR PREPARATION OF 2-AMINOPYRIDINE-BORANES,

489

 

Y. Okamoto, T. Kinoshita, Kitasato University, Tokyo, Japan

 

 

 

 

21.

GOLD(I) DERIVATIVES OF AZOLES: SYNTHESIS AND REACTIVITY,

490

 

F. Bonati, A. Burini, M. Felici, B.R. Pietroni, Università Camerino, Italy

 

 

 

THURSDAY, AUGUST 27         16.30-17.30             POSTER II

 

SYMPOSIUM D: HETEROCUMULENES

1.

RING CLOSURE REACTIONS STARTING FROM 1,8-DIAMINONAPHTHALENE,

140

 

S. Johne, U. Burkhardt, Academy of Science of the German Democratic Repuplic, Halle/S., GDR

 

 

 

 

2.

REARRANGEMENT REACTIONS OF HETEROCYCLES VIA CARBONYLKETENE INTERMEDIATES,

141

 

M.A. Chirazi, Univ. of Jondishapur, Ahvaz, Iran; H. Wildpannèr, Y. Ravai, W. Stadlbauer, Th. Kappe, Univ. Graz, Austria

 

 

 

 

3.

A NEW SYNTHESIS OF SOME CYCLIC THIOKETALS IN CATALYTIC TWO-PHASE SYSTEM,

143

 

M. Makosa, M. Ludnikow, Technical University, Warsaw, Poland

 

 

 

 

4.

SYNTHESIS OF TETRAHYDRO-PYRIDO[1,2-a]PYRIMIDINE-9-CARBOXAMIDES,

144

 

I. Bitter, B. Pete, I. Hermecz, G. Tóth, Z. Bende, Z. Mészaros, Techn. University and CHINOIN Pharm. and Chem. Works, Budapest, Hungary

 

 

 

 

5.

NEW SYNTHESIS OF THE THIENO[3,4-e][1,4]DIAZEPINES,

145

 

W. Zankowska-Jasinska, M. Wodzień, Jagellonian University Kraków, Poland

 

 

 

 

6.

THIETANE 1,1-DIOXIDES FROM ANANCOMERIC ENAMINES,

146

 

M. Forchiassin, G. Pitacco, C. Russo, E. Valentin, Università, Trieste, Italy

 

 

 

 

7.

SYNTHESIS OF 2- AMINOTHIOPHENES FROM TERTIARY ENAMINES,

147

 

J.J. Krutak, R.J. Maleski, H.M. Beard, Eastman Kodak Company, Kingsport, TE USA

 

 

 

 

8.

NOVEL CONDENSED HETEROCYCLIC RING SYSTEMS FROM N-(2-HALOETHYL)-N-(2-NITROPHENYL)SULFONAMIDES,

149

 

Gy. Hornyak, K. Lempert, E. Pjeczka, G. Tóth, K. Zauer, Hungarian Acad. of Sciences, Budapest, Hungary

 

 

 

 

9.

SYNTHESIS OF THE 1,3-DITHIOLO[4,5-b]PYRIDINE SYSTEM FROM PYRID-3-YL THIOCYANATES,

151

 

T.K. Chen, W.T. Flowers, University of Manchester, England

 

 

 

 

10.

NITROGEN HETEROCYCLES FROM METHYL N-(2-BENZOTHIAZOLYL)-IMINO-DITRIO-CARBONATES

152

 

, J. Garin, F. Merchan, E. Melendez, University of Zaragassa, Spain

 

 

 

 

11.

SIX MEMBERED HETEROCYCLES BEARING A 2-BENZOTHIAZOLYLAMINO GROUP,

153

 

F. Merchán, J. Garin, E. Melendez, University of Zaragoza, Spain

 

 

 

“CYCLOADDITIONS”

 

12.

TRICYCLIC CONDENSED PYRIMIDINES,

492

 

M. Ebeid, Cairo University, Egypt

 

 

 

 

13.

α-CYANO-AMINES AND THEIR CONVERSION INTO NOVEL 1,3-THIAZETIDIN-2-ONES,

493

 

A. Van Loon, G. Hoornaert, K. Univ. Leuven, Belgium

 

 

 

 

14.

HETEROCYCLIC SYNTHESIS BY 1-AZADIENES,

 494

 

Y. Oshiro, M. Komatsu, T. Agawa, Osaka University, Suita, Osaka, Japan

 

 

 

 

15.

SYNTHESIS OF TETRACYCLIC RING SYSTEMS BY CYCLOADDITION REACTIONS OF 6,7-DIMETHOXY-2H-1,3-BENZOTHIAZINE,

 495

 

L. Fodor, J. Szabó, G. Bernáth, P. Sohár, Univ. Med. School, Szeged; EGYT Pharmacochemical Works, Budapest, Hungary

 

 

 

 

16.

REACTIONS OF 6,7-DIMETHOXY-2H-1,3-BENZOTHIAZINE WITH ACETYLENE-DICARBOXYLIC ESTERS,

 496

 

L. Fodor, J. Szabó, G. Bernáth, P. Sohár, Univ. Med. School, Szeged; EGYT Pharmacochem. Works, Budapest, Hungary

 

 

 

 

17.

THERMAL (σ2+σ2+π4)CYCLOADDITIONS OF QUADRICYCLANES WITH o-QUINOID COMPOUNDS,

497

 

W. Friedrichsen, E. Büldt, University Kiel, Germany

 

 

 

 

18.

FORMATION OF XANTHANE HYDRIDE: CORRELATION OF EXPERIMENT AND MNDO CALCULATIONS,

498

 

A.R. Butler, C. Glidewell, University of St. Andrews, Scotland

 

 

 

 

19.

SYNTHESIS OF FIVE-MEMBERED HETEROCYCLES BY O-ACYLATION OF PRIMARY ALIPHATIC NITRO COMPOUNDS,

499

 

S. Zen, K. Harada, E. Kaji, Kitasato University, Tokyo, Japan

 

 

 

 

20.

CYCLOADDITION OF 2-PYRIDINECARBALDEHYDE TO ETHYLENE AND ACETYLENES,

 500

 

E.K. Pohjala, Farmos Group Ltd, Oulu, Finland

 

 

 

 

21.

REACTIVITY OF ARYLMETHYLENE PYRAZOLIN-5-ONES AND INDOLIN-2-ONES WITH NITRILE IMINES,

501

 

P.L. Anelli, P. Dalla Croce, Univ. Milano, Italy

 

 

 

 

22.

ROLE OF PROTIC AND DIPOLAR APROTIC SOLVENTS IN CYCLOADDITIONS INVOLVING ANIONIC 1,3-DIPOLES. AN UNUSUAL REACTION OF AMMONIUM AZIDE WITH PHENYLACETYLENE,

502

 

P.K. Kadaba, University of Kentucky, Lexington, USA

 

 

 

 

23.

REACTION OF CARBON DIOXIDE WITH α-HALOGENATED ACYLOPHENONS OR OXIRANE DERIVATIVES IN THE PRESENCE OF ALIPHATIC AMINES: FORMATION OF CARBAMIC ACID ESTER DERIVATIVES,

503

 

T. Toda, Tohoku University, Sendai, Japan

 

 

 

 

24.

SYNTHESIS OF SUBSTITUTED 4-IMIDAZOLINE-2-ONES,

 504

 

Ch. Bojtcheva, V. Kaltchewa, D. Simov, Sofia University, Bulgaria

 

 

 

 

25.

NUCLEOPHILIC ADDITION OF 2-AMINOBENZOXAZOLES TO COMPOUNDS WITH ACTIVATED CARBON-CARBON MULTIPLE BONDS,

 506

 

V.B. Kaltcheva, L.S. Peshakova, D.A. Simov, University of Sofia, Bulgaria