INVITED LECTURES

PIONEER MEMORIAL THEATRE, UNIVERSITY OF UTAH

 

Monday, 9 July

 

9:00   OPENING CEREMONY

9:30   HANS WYNBERG (NETHERLANDS)

L-1    The Chemistry and Chiroptical Properties of Helicenes and Circulenes

       Chairman:  A. R. Katritzky

 

10:45  INTERMISSION

 

11:00  EDWARD F. ELSLAGER (U.S.A.)

L-2    Synthesis of Fused Pyrimidines as Folate Antagonists

       Chairman:  W. Pfleiderer

 

 

Tuesday, 10 July

 

9:00   HENK C. VAN DER PLAS (NETHERLANDS)

L-3    Ring Transformations of Azines: A Mechanistic Study of the Ring Transformations of 14C- and 15N-Labeled Azines

       Chairman:  R. G. Shepherd

 

10:15  INTERMISSION

 

10:45  A. J. BOULTON (ENGLAND)

L-4    Concerted Ring Interconversions of 1,2-Oxazoles and Related Compounds

       Chairman:  J-L. Imbach

 

 

Wednesday, 11 July

 

9:00   CHARLES W. REES (ENGLAND)

L-5    Interconversion of Nitrogen Heterocyclic Rings

       Chairman:  N. H. Cromwell

 

10:30  CONGRESS EXCURSION

 

 

Thursday, 12 July

 

9:00   JACK J. FOX (U.S.A.)

L-6    Nucleoside Transformations

       Chairman:  R. K. Robins

 

10:15  INTERMISSION

 

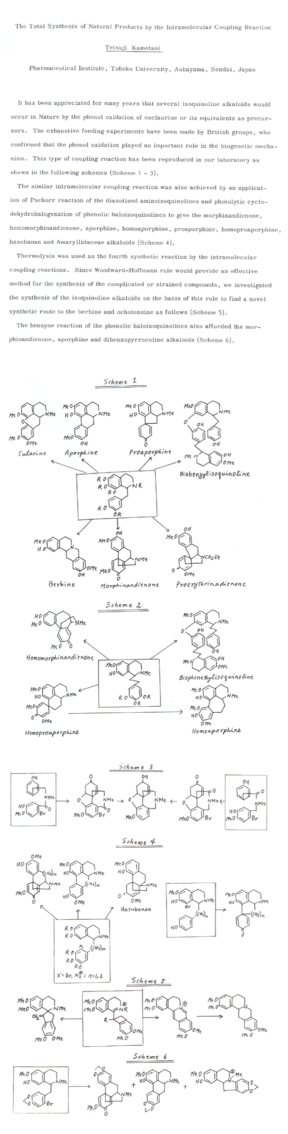
10:45  TETSUJI KAMETANI (JAPAN)

L-7    The Total Synthesis of Natural Products by the Intramolecular Coupling Reaction

       Chairman:  C. C. Cheng

 

 

Friday, 13 July

 

9:00   JACQUES STREITH (FRANCE)

L-8    Photochemical Synthesis and Reactivity of 1,2-Diazepines

       Chairman:  R. Jacquier

 

10:15  INTERMISSION

 

10:45  BRANKO STANOVNIK (YUGOSLAVIA)

L-9    Transformations of Azolopyridazines, Azinopyridazines and Related Systems

       Chairman:  W. W. Paudler

 

 

CONTRIBUTED PAPERS

 

 

MONDAY, 9 JULY

 

SESSION A

Chairman:  John A. Montgomery

Page

2:00

Stereochemistry and Kinetics of Guanosine-Epoxide Reactions

 1

A-1

R. Roe, Jr., J. S. Paul and P. O'B. Montgomery (Univ. of Texas, U.S.A.)

 

 

 

 

2:20

Synthesis of Some Tricyclic Nucleosides Related to the "Y" Bases of t-RNA

 3

A-2

G. L. Anderson, B. H. Rizkalla and A. D. Broom (Univ. of Utah, U.S.A.)

 

 

 

 

2:40

Synthesis of 8-Amino-6-thioinosine, 8-Amino-6-thioguanosine and Related Nucleoside Derivatives

 5

A-3

G. L. Szekeres, R. A. Long and R. K. Robins (ICN Pharmaceuticals, Inc., U.S.A.)

 

 

 

 

3:00

Synthesis of 5-Fluoropyrimidines and Their Nucleosides by Direct Fluorination Using Trifluoromethyl Hypofluorite

 7

A-4

M. J. Robins, S. R. Naik and G. Ramani (Univ. of Alberta, CANADA)

 

 

 

 

3:20

Studies in Nucleoside Syntheses. I - Ribosides of s-Triazolopyrimidines -

 9

A-5

J. L. Barascut and J. L. Imbach (Univ. des Sciences et Techniques du Languedoc, FRANCE)

 

 

 

 

3:40

INTERMISSION

 

 

 

 

4:00

Glycosylation Studies of Related N-Bridgehead Heterocyclic Systems: Pyrazolo[1,5-a]pyrimidine, Pyrazolo[1,5-a]-s-triazine, and s-Triazolo[1,5-a]pyrimidine

11

A-6

G. R. Revankar, R. K. Robins and R. L. Tolman (ICN Pharmaceuticals, Inc., U.S.A.)

 

 

 

 

4:20

Successful Functionalization of the 6-Position of Purine-2'-deoxynueleosides

13

A-7

M. J. Robins and G. L. Basom (Univ. of Alberta, CANADA)

 

 

 

 

4:40

Intra- and Intermolecular Alkylation of Formycin

15

A-8

J. Zemlieka (Michigan Cancer Foundation, U.S.A.)

 

 

 

 

5:00

Some Transformations of Adenine Cyclonucleosides

17

A-9

M. Ikehara and Y. Ogiso (Osaka Univ., JAPAN)

 

 

 

 

5:20

Synthesis of 2-Substituted Adenosine 3',5'-Cyclic Phosphates From Ribofuranosylimidazole 3',5'-Cyclic Phosphates -

19

A-10

R. B. Meyer, Jr., D. A. Shuman and R. K. Robins (ICN Pharmaceuticals, Inc., U.S.A.)

 

 

SESSION B

Chairman:  Miha Tišler

Page

2:00

New Reactions of Heterocyclic, β-Enamino-esters

77

B-1

H. Wamhoff, C. Materne, J. Lehmann, J. Hartlapp and C. von Waldow (Univ. of Bonn, W. GERMANY)

 

 

 

 

2:20

Heterocycles by Ring Closure of Some N,N-Dimethyl-N'-azinyl-formamidines

78

B-2

M. Tišler, B. Stanovnik, B. Verček and S. Polanc (Univ. of Ljubljana, YUGOSLAVIA)

 

 

 

 

2:40

The Synthesis and Reactivity of Pyrrolo[2,3-d]pyridazine, Pyrrolo[3,2-e]pyridazine, and Pyrrolo[2,3-e]pyridazine

80

B-3

P. D. Cook and R. N. Castle (Brigham Young Univ., U.S.A.)

 

 

 

 

3:00

A Novel Route to Fluoro-1,2,4-triazoles and 8-Fluoropurines

82

B-4

S. R. Naik, J. T. Witkowski and R. K. Robins (ICN Pharmaceuticals, Inc., U.S.A.)

 

 

 

 

3:20

Synthesis of Poly 2-Uracil-4-aminobutyric Acid

83

B-5

J. Hes and M. Mertes (Univ. of Kansas, U.S.A.)

 

 

 

 

3:40

INTERMISSION

 

 

 

 

4:00

Formation of 5-Aryl-1,2,4-thiadiazine 1,1-Dioxides and N-Styrylamidines From Styrylsulfonylamidines

85

B-6

W. L. Matier and W. T. Comer (Mead Johnson and Co., U.S.A.)

 

 

 

 

4:20

Reaction of Pyrimidine Derivatives with Carbenes

87

B-7

U. K. Pandit, H. P. M. Thiellier and G. J. Koomen (Univ. of Amsterdam, NETHERLANDS)

 

 

 

 

4:40

Selective Attack by Hard and Soft Nucleophiles on Amino-pteridines: 6-Methylthio-, 6-Methylsulfinyl-, or 6-Methylsulfonyl-

89

B-8

W. D. Johnston, H. S. Broadbent and W. W. Parish (Brigham Young Univ., U.S.A.)

 

 

 

 

5:00

Some Experiments with Dihydroxypyrazines

91

B-9

G. W. H. Cheeseman and P. Sharma (Queen Elizabeth College, ENGLAND)

 

 

SESSION C

Chairman:  Frank D. Popp

Page

2:00

The Synthesis and Reactions of the Inner Salt of 5,11-Dihydro-11-oxopyrido[1,2-b]cinnolin-6-ium Hydroxide

149

C-1

R. Y. Ning, W. Y. Chen and L. H. Sternbach (Hoffmann-La Roche, Inc., U.S.A.)

 

 

 

 

2:20

3,4-Dihydroquinazolines Through the Dimerization of Certain Ketenimines

151

C-2

M. W. Barker and J. D. Rosamond (Mississippi State Univ., U.S.A.)

 

 

 

 

2:40

Cycloaddition Reactions of Some Isoquinolinium Salts

153

C-3

C. K. Bradsher and F. H. Day (Duke Univ., U.S.A.)

 

 

 

 

3:00

Preparation and Reactions of Some 4-Substituted-1,3(2H,4H)-isoquinolinedones

155

C-4

I. W. Elliott, Y. Takekoshi and J. R. Green (Fisk Univ., U.S.A.)

 

 

 

 

3:20

Investigation on the Cyclization Mechanism of α-Phenyl-benzylideneacetone Oxime Benzoate to 1-Phenyl-3-methyl-isoquinoline

157

C-5

S. Goszczyński and M. Łoźyński (Poznań Technical Univ., POLAND)

 

 

 

 

3:40

INTERMISSION

 

 

 

 

4:00

Mannich Type Reactions with an Isobasic Isoquinoline

159

C-6

K. Harsányi, P. Kiss and D. Korbonits (Chinoin Pharmaceutical and Chemical Works, HUNGARY)

 

 

 

 

4:20

Isoquinoline Structures from N-Benzoates of 1‑Alkyl-3,4-dihydroisoquinolines

161

C-7

I. Ninomiya, T. Naito and H. Takasugi (Kobe Women's College of Pharmacy, JAPAN)

 

 

 

 

4:40

Novel Topochemical Behavior of 2H-Benz[de]isoquinoline-1,3-diones and 2,7-Dihydrobenzo[1mn]-3,8-phenanthroline-1,3,6,8-tetraones

163

C-8

J. J. Jordan and F. J. Goetz (Seton Hall Univ., U.S.A.)

 

 

 

 

5:00

Trans- and cis-Isoquino1ine-and Isochromane Type Heterocycles from erythro- and threo-3-Amino- and 3-Hydroxy-methyl-propionates

165

C-9

B. Kurtev, M. Haimova, S. Spassov, M. Palamareva and E. Stanoeva (Univ. of Sofia, BULGARIA)

 

 

SESSION D

Chairman:  Dov Ben-Ishai

Page

2:00

Bromination of Some 1,X-Naphthyridine N-Oxides

227

D-1

W. Paudler, R. Van Dahm and J. Wang (Ohio Univ., U.S.A.)

 

 

 

 

2:20

Sodium Borohydride Reduction of N-Benzyloxpyridinium Salts

229

D-2

R. E. Manning and F. Schaefer (Sandoz-Wander, Inc., U.S.A.)

 

 

 

 

2:40

1-(Adamantanethio)pyridines

230

D-3

L. Bauer, B. A. Mikrut, K. K. Khullar, P. Y-P. Chan and R. S. Egan (Univ. of Illinois, U.S.A.)

 

 

 

 

3:00

Intramolecular Nucleophilic Cyclization of 3-Substituted Pyridines onto the 2-Position of the Pyridine Ring

232

D-4

H. L. Davis and E. M. Hawes (Univ. of Saskatchewan, CANADA)

 

 

 

 

3:20

An Unequivocol Synthesis of N-Substituted-1,4-dihydropyridines

234

D-5

A. I. Meyers and D.M. Stout (Colorado State Univ., U.S.A.)

 

 

 

 

3:40

INTERMISSION

 

 

 

 

4:00

Reactions of 1,2-Dihydro-2-substituted Pyridyllithium Compounds. New Ambident Nucleophiles

236

D-6

C. S. Giam, E. E. Knaus, R. A. Lockhart, I. G. Keener and G. S. Neff (Texas A&M Univ., U.S.A.)

 

 

 

 

4:20

Reaction of Diketene With Some Enamine To Give Heterocyclic Compounds

238

D-7

T. Kato, T. Chiba, T. Sakamoto and T. Hozumi (Tohoku Univ., JAPAN)

 

 

 

 

4:40

Substituent Effects in Intramolecular 1,5-Cyclization of Allyl Pyridinium Ylides

240

D-8

E. K. Pohjala (Helsinki Univ. of Technology, FINLAND)

 

 

 

 

5:00

The Reactions of Pyridyl- and Arylhydrazones with Bases. A New Type of N-N-Bond Cleavage

242

D-9

L. N. Yakhontov, M. F. Marshalkin and E. V. Pronina (S. Ordzhonikidze All-Union Chemical-Pharmaceutical Research Institute, USSR)

 

 

 

TUESDAY, 10 JULY

 

SESSION A

Chairman:  Gordon W. H. Cheeseman

Page

2:00

Mechanisms of Ring Interconversions and Factors Affecting Their Occurrence

 21

A-11

R. G. Shepherd (American Cyanamid Co., U.S.A.)

 

 

 

 

2:20

A-11 continued

 

A-12

 

 

 

 

 

2:40

Dimroth Rearrangements in the Imidazo[1,2-a]pyridine Series

 23

A-13

R. Jacquier, H. Lopez and G. Maury (Univ. des Sciences et Techniques du Languedoc, FRANCE)

 

 

 

 

3:00

Rearranging Cycloadditions to Five Membered S-Heterocycles

 24

A-14

J. Goerdeler, J. Ulmen, R. Büchler and J. Haag (Univ. Bonn, GERMANY)

 

 

 

 

3:20

An Unusual Photoaddition of Alkenes to s-Triazolo[4,3-b]pyridazine

 25

A-15

J. S. Bradshaw, B. Stanovnik and M. Tišler (Univ. of Ljubljana, YUGOSLAVIA)

 

 

 

 

3:40

INTERMISSION

 

 

 

 

4:00

A Novel Ring Contraction of O5’-6(S)-Cyclo-5-diazouridine Elimination of a Ring Carbonyl Group in Preference to Diatomic Nitrogen

 27

A-16

T. C. Thurber and L. B. Townsend (Univ. of Utah, U.S.A.)

 

 

 

 

4:20

Heat Induced Transformation of 1,2,3-Selenadiazoles to Disubstituted Selenophenes

 29

A-17

I. Lalezari (Univ. of Tehran, IRAN)

 

 

 

 

4:40

The Synthesis of 4-Amino-8-(b-D-ribofuranosyl)aminopyrimido[5,4-d]pyrimidine: A Novel Rearrangement of the Purine Ring

 31

A-18

H. M. Berman, R. J. Rousseau, R. W. Mancuso, G. P. Kreishman and R. K. Robins (ICN Pharmaceuticals, Inc., U.S.A.)

 

 

 

 

5:00

The Chemistry of 1,2,3-Triazines

 33

A-19

H. Neunhoeffer, H-D. Votter and M. Ohl (Technische Hochschule Darmstadt, GERMANY)

 

 

 

 

5:20

Photochemistry of Nitrophenylpyrazoles

 35

A-20

R. Jacquier, J. Elguero, P. Bouchet and C. Coquelet (Univ. des Sciences et Techniques du Languedoc, FRANCE)

 

 

SESSION B

Chairman:  E. Campaigne

Page

2:00

Synthesis of New Pharmacologically Active Pyrrolidines

 93

B-10

S. Ohki, N. Ozawa and H. Matsuda (Tokyo College of Pharmacy, JAPAN)

 

 

 

 

2:20

Potential Antitumor Agents. Analogs of Ergot Alkaloids and Related Compounds

 95

B-11

A. C. Ghosh, R. R. Kurtz, H. Dalzell and R. K. Razdan (Sheehan Institute and Sharps Associates, U.S.A.)

 

 

 

 

2:40

A Novel Conversion of Penicillins into Cephalosporins

 97

B-12

T. Kamiya, T. Teraji, Y. Saito, M. Hashimoto, O. Nakaguchi and T. Oku (Fujisawa Pharmaceutical Cc. Ltd., JAPAN)

 

 

 

 

3:00

2,5-Diazabicyclo[2.2.2]octanes, 3,8-Diazabicyclo[3.2.1]octanes, and 2,5-Diazabicyclo[2.2.1]heptanes as Bridged Analogs of the Antifilarial Drug, Diethylcarbamazine

 99

B-13

P. A. Sturm and D. W. Henry (Stanford Research Institute, U.S.A.)

 

 

 

 

3:20

The Synthesis and Chemical Properties of 5,7-Dialkylpyrazolo[1,5a]1,3,5-triazines

101

B-14

K. Senga, T. Novinson, R. K. Robins and D. E. O'Brien(ICN Pharmaceuticals, Inc., U.S.A.)

 

 

 

 

3:40

INTERMISSION

 

 

 

 

4:00

Photochemical Transformations of Drugs Related to Pyrazoline

103

B-15

J. Reisch (Westfalien Wilhems Univ., FRG)

 

 

 

 

4:20

Synthesis of 5,5'-{[3-(Dimethylamino)propyl]Imino}bis[3-(trichloromethyl)1,2,4-thiadiazole] and Related Compounds As Antimalarial Agents

105

B-16

E. F. Elslager, J. Johnson and L. M. Werbel (Parke, Davis and Co., U.S.A.)

 

 

 

 

4:40

The Synthesis of Novel Aryl Substituted Hexahydro-1,3 and 1,4-Diazocinones

107

B-17

R. Sarges and J. R. Tretter (Pfizer Inc., U.S.A.)

 

 

 

 

5:00

Reaction of Alkylhydrazines II. Synthesis of Heterocyclic Compounds of Biological Interest

109

B-18

J. Nematollahi, S. Kasina and D. Maness (Univ. of Texas, U.S.A.)

 

 

 

 

5:20

The Synthesis of Imidazo[1,5a]pyrimidines From 4(5)-Amino-5(4)-imidazolecarboxamide (AICA)

111

B-19

T. Novinson, R. K. Robins and D. E. O'Brien (ICN Pharmaceuticals, Inc., U.S.A.)

 

 

 

 

5:40

The Synthesis and Properties of the Pyrimido(4,5-b)(1,4)thiazines -- New Type of Folic Acid Antagonists

113

B-20

T. S. Safonova and M. P. Nemerjuk (S. Ordzhonikidze All-Union Chemical Pharmaceutical Research Institute, USSR)

 

 

SESSION C

Chairman:  Yoshio Ban

Page

2:00

The Reaction of 4-Nitroquinoline 1-Oxide With Enamines

167

C-10

M. Hamana, H. Noda and T. Yamamori (Kyushu Univ., JAPAN)

 

 

 

 

2:20

Cyclization of b-Phenylbenzylideneacetone Oxime Esters to 2‑Methyl-4-phenylquinoline

169

C-11

S. Goszczyński and E. Salwińska (Pozńan Technical Univ., POLAND)

 

 

 

 

2:40

Comparative Hydrogenation of a Number of Quinoline Carbonyl Derivatives

171

C-12

E. V. Brown, H. H. Bauer, D. N. Schluter and T. Biegler (Univ. of Kentucky, U.S.A.)

 

 

 

 

3:00

Some Reactions of 2-Methyl-4(1H)-quinolone With N-Aliphatic and Aromatic Adlehydes

173

C-13

A. C. Casey and J. T. Marone (New England Institute, U.S.A.)

 

 

 

 

3:20

Intramolecular Nitrene Insertions into Aromatic and Heteroaromatic Ring Systems

174

C-14

R. N. Carde, G. R. Cliff, G. Jones and J. McK. Woollard (Univ. of Keele, ENGLAND)

 

 

 

 

3:40

INTERMISSION

 

 

 

 

4:00

Quinoxaline Derivatives. XII. A Study of the Reaction of Quinoxaline-1,4-dioxide and Its Derivatives With Acetic Anhydride

176

C-15

M. S. Habib, M. A. Farooqi, Y. Ahmad and M. I. Qureshi (Burroughs Wellcome & Co., Ltd., PAKISTAN)

 

 

 

 

4:20

2,4,6-Trialkyl-1,3,5-hexahydrotriazines. Synthesis, Stereochemistry and Chemical Behavior

178

C-16

A. T. Nielsen, R. L. Atkins, D. W. Moore, R. Scott, D. Mallory and J. M. LaBerge (Naval Weapons Center, U.S.A.)

 

 

 

 

4:40

Pyrazolo[5,1-c]benzo-1,2,4-triazine. A New Ring System by the Intramolecular Condensation of Aromatic Nitro-group with Amino-group

180

C-17

Y. Ahmad, M. I. Qureshi and S. S. Anwar (Pakistan Council of Sci. and Ind. Res. Lab., PAKISTAN)

 

 

 

 

5:00

Structures of Murrayacinine and Heptazolidine: Two Carbazole Alkaloids of Rutaceae

182

C-18

D. P. Chakraborty, P. Bhattacharyya, A. Islam and S. Roy (Bose Institute, INDIA)

 

 

 

 

5:20

A New Synthesis of 4-Keto-1,2,3,4-tetrahydroquinolines

184

C-19

G. Dienys, J. Gurevičienē, M. Kažemekaitē and L. Čekuolienē (Vilnius State Univ., USSR)

 

 

SESSION D

Chairman:  Salo Gronowitz

Page

2:00

The Synthesis and Transformations of Some 3-Chloro-and 3-Nitroindolenines

243

D-10

A. Walser, J. Blount and R. I. Fryer (Hoffmann-La Roche, Inc., U.S.A.)

 

 

 

 

2:20

A Study of the α-Substituted 2'-Arylideneaminotoluene: 3-Substituted 2-Arylindoline Tautomerism

245

D-11

F. J. Goetz (Seton Hall Univ., U.S.A.)

 

 

 

 

2:40

Synthesis of 4-Keto-4,5,6,7-tetrahydroindoles via Munchnone Intermediates

247

D-12

F. M. Hershenson (Searle Laboratories, U.S.A.)

 

 

 

 

3:00

Reaction of 3-[2'-Tetrahydrofuranyl(pyranyl)thio]indole With Silver Ion

249

D-13

M. Pickering, T. D. Lee and G. D. Daves, Jr., (Oregon Graduate Center, U.S.A.)

 

 

 

 

3:20

Some New Chemistry of Isatin

251

D-14

F. D. Popp and R. M. Piccirilli (Clarkson College of Technology, U.S.A.)

 

 

 

 

3:40

INTERMISSION

 

 

 

 

4:00

The Reaction of Phenyl Isocyanate With N-Methyl-2-pyrrolidinone

253

D-15

R. Richter and H. Ulrich (The Upjohn Co., U.S.A.)

 

 

 

 

4:20

Aryl Aroyl- and Aryl Aroyl Amino Pyrroles

255

D-16

N. H. Cromwell and D. E. Weiss (Univ. of Nebraska, U.S.A.)

 

 

 

 

4:40

Synthesis of Pyrrolic Condensed Systems

257

D-17

M. Farnier, S. Samreth and P. Fournari (Laboratoire de Polarographie Organique, FRANCE)

 

 

 

 

5:00

N,N-Diacylimidazolium Ions in Organic Synthesis

259

D-18

J. Bergman and L. Renström (Royal Inst. of Technology, SWEDEN)

 

 

 

 

5:20

A Solution to the Dicarbazylmethane Controversy, A Study of Photobromination of 9-Substituted-3-Methylcarbazole

261

D-19

M. T. Goetz (Seton Hall Univ., U.S.A.)

 

 

--------------------------------------------------------------

WEDNESDAY, 11 JULY  Congress Excursion

---------------------------------------------------------------

 

THURSDAY, 12 JULY

 

SESSION A

Chairman:  Morio Ikehara

Page

2:00

Synthesis of Nucleosides from Nitro-Sugars

 36

A-21

R. E. Harmon, T-S. Lin and S. K. Gupta (Western Michigan Univ., U.S.A.)

 

 

 

 

2:20

Studies in Nucleoside Syntheses: IV, Obtention of New Ribosides of Benzoazoles

 37

A-22

B. Kam, C. Tapiero and J-L. Imbach (Univ. des Sciences et Techniques du Languedoc, FRANCE)

 

 

 

 

2:40

Fluorescent 1,N6-Ethenoadenine Coenzymes and Dinucleoside Phosphates

 39

A-23

G. L. Tolman, J. R. Barrio, N. J. Leonard, R. D. Spencer and G. Weber (Univ. of Illinois, U.S.A.)

 

 

 

 

3:00

The Investigation of Tautomerism in Certain Nucleosides by Carbon-13 Magnetic Resonance Spectroscopy

 41

A-24

M-T. Chenon, R. J. Pugmire, D. M. Grant, R. P. Panzica and L. B. Townsend (Univ. of Utah, U.S.A.)

 

 

 

 

3:20

Chemical Ionization Mass Spectrometry of Nucleosides

 43

A-25

M. S. Wilson and J. A. McCloskey (Baylor College of Medicine, U.S.A.)

 

 

 

 

3:40

INTERMISSION

 

 

 

 

4:00

Syntheses and Properties of Pteridine Cyclonucleosides

 45

A-26

W. Pfleiderer and K. Kobayashi (Univ. of Konstanz, WEST GERMANY)

 

 

 

 

4:20

Reaction of 2,2'-Anhydro Pyrimidine Nucleosides with Amine Nucleophiles

 47

A-27

T. J. Delia and J. Beranek (Central Michigan Univ., U.S.A.)

 

 

 

 

4:40

The Use of the Wittig Reaction in the Preparation of Purine Nucleosides

 49

A-28

J. A. Montgomery, A. G. Laseter and K. Hewson (Southern Research Institute, U.S.A.)

 

 

 

 

5:00

Some Transformations of 5-Thioribosyluracil and Analogs

 51

A-29

E. J. Eustace, T. E. Stone, C. Bachman and G. D. Daves, Jr., (Oregon Graduate Center, U.S.A.)

 

 

 

 

5:20

Studies in Nucleoside Syntheses: III, A Criterion for Determining Anomeric Configuration of Ribonucleosides

 53

A-30

J-L. Imbach, J-L. Barascut, B. Kam, B. Rayner and C. Tapiero (Univ. des Sciences et Techniques du Languedoc, FRANCE)

 

 

 

 

5:40

Synthesis and Reactions of 1-Oxido-2-pyridylmethyl Protected Nucleosides and Nucleotides

 55

A-31

Y. Mizuno, T. Endo, T. Miyaoka and K. Ikeda (Hokkaido Univ., JAPAN)

 

 

SESSION B

Chairman:  Irwin J. Pachter

Page

2:00

Selenium Heterocycles. XI Reaction of 2-Aminoselenazoles and 2-Amino-1,3,4-selenadiazoles with Acetylenic Compounds

115

B-21

A. Shafiee and I. Lalezari (Univ. of Tehran, IRAN)

 

 

 

 

2:20

1,2,3-Selenadiazol-4-yl Derivatives of Steroids and Aromatic Polycyclic Compounds

117

B-22

H. Golgolab and I. Lalezari (Univ. of Tehran, IRAN)

 

 

 

 

2:40

Meisenheimer-Type Compounds from Heteroaromatic Substrates: The Reaction of CH3O- and H- Ions with some 2,4-Disubstituted Thiophenes and Selenophenes

119

B-23

F. Terrier, A. P. Chatrousse, M. P. Simonnin and C. Paulmier (Ecole Nationale Supèrieure de Chimie, FRANCE)

 

 

 

 

3:00

Some Aspects of the Chemistry of Phosphorins

121

B-24

K. Dimroth (Philipps-Univ., GERMANY)

 

 

 

 

3:20

Substitution Reactions of 3,2-Borazaropyridines

123

B-25

S. Gronowitz and A. Maltesson (Univ. of Lund, SWEDEN)

 

 

 

 

3:40

INTERMISSION

 

 

 

 

4:00

Interconversion of Some Pentaatomic Heterocyclic Rings

124

B-26

V. Bertini (Univ. Via Risorgimento, ITALY)

 

 

 

 

4:20

Synthesis and Reactions of Methyl 2-Cyano-3-(2-substituted-indol-3-yl)thio-3-methylthioacrylates

126

B-27

S. Kisaki, Y. Tominaga, R. Natsuki, Y. Matsuda and G. Kobayashi (Nagasaki Univ. JAPAN)

 

 

 

 

4:40

Synthesis of Partially Hydrogenated 1H-Indeno[1,2-b]pyridin-2-ones

128

B-28

R. Kunstmann (Farbwerke Hoechst AG, WEST GERMANY)

 

 

 

 

5:00

New Synthesis of Methyl 5-Vinylquinuclidine-2-carboxylate

130

B-29

L. N. Yakhontov, L. I. Mastafanova (S. Ordzhonikidze All- Union Chemical-Pharmaceutical Research Institute, USSR)

 

 

SESSION C

Chairman: Charles K. Bradsher

Page

2:00

The Conversion of Azlactones into Unsaturated Azlactones

186

C-20

C. H. Stammer, J. Riordan, E. Breitholle and J. Hines(Univ. of Georgia, U.S.A.)

 

 

 

 

2:20

Research in the Chemistry of Cyclic Ketals: Synthesis of 5,7-Dioxa-2-aza-bicyclo(2.2.2)octanes

187

C-21

P. Calinaud, J. Gelas and D. Petrequin (Univ. de Clermont-Ferrand, FRANCE)

 

 

 

 

2:40

Synthesis of Isomeric N-Substituted 5-Methyl-2H-1,2,6-thiadiazin-3(6H)-one 1,1-Dioxides

189

C-22

J. Díez, G. García-Munoz, R. Madroñero and M. Stud (Instituto de Química Orgánica General, SPAIN)

 

 

 

 

3:00

Synthesis of Novel Spiroheterocycles. 2-Amino-7-oxa-3-thia-1-azaspiro[5.5]undec-1-enes and Related Compounds

191

C-23

N. Cohen, B. L. Banner, J. F. Blount, R. J. Lopresti, M. Tsai and G. Saucy (Hoffmann-La Roche Inc., U.S.A.)

 

 

 

 

3:20

Synthesis and Reactions of Non-Classical Thiophenes

193

C-24

K. T. Potts and D. McKeough (Rensselaer Polytechnic Inst., U.S.A.)

 

 

 

 

3:40

INTERMISSION

 

 

 

 

4:00

The Reactions of 2-Ethoxy-2,3-dihydrobenzoxazinone and 4,4-Diphenyl-2-ethoxyoxazolidinone with Olefins

195

C-25

D. Ben-Ishai and I. Gillon (Israel Inst. of Tech., ISRAEL)

 

 

 

 

4:20

Interconversion of 3-Acylaminobenzisoxazoles and 3-(2-hydroxyphenvl)-1,2,4-oxadiazoles

197

C-26

K. Harsányi (Chinoin Pharm. and Chem. Works, HUNGARY)

 

 

 

 

4:40

Mechanism of 1,2,4-Oxadiazole Synthesis from Amidoximes and Esters on the Basis of Anomalous Reaction of Salicyclic Acid Amidoxime

199

C-27

K. Harsányi (Chinoin Pharm. and Chem. Works, HUNGARY)

 

 

 

 

5:00

Reactions of Flavin-analogous Pyrimido[5,4-b][1,4]benzothiazines

203

C-28

H. H. Rössler and H. Fenner (Freien Univ.Berlin, GERMANY)

 

 

 

 

5:20

Novel Heterocycles from Dialkyl Sulfone Diimines

207

C-29

M. Haake, B. Eichenauer, H. Fode (Institute für Pharmazeutische Chemie der Univ. Marburg, WEST GERMANY)

 

 

SESSION D

Chairman:  Ludwig Bauer

Page

2:00

Mesoionic Purinone Analogs. Synthesis and Properties of Several Mesoionic Xanthine Analogs

263

D-20

R. A. Coburn, R. A. Carapellotti and R. A. Glennon (State Univ. of New York at Buffalo, U.S.A.)

 

 

 

 

2:20

Reaction Between Dienes and Mesoionic Compounds - A New Type of Cycloaddition

264

D-21

K-L. Mok and M. J. Nye (Univ. of Guelph, CANADA)

 

 

 

 

2:40

Kinetics and Equilibria of Pseudobase Formation by Quaternary Nitrogen Heterocycles

266

D-22

J. W. Bunting and W. G. Meathrel (Univ. of Toronto, CANADA)

 

 

 

 

3:00

Polarization Directions of Electronic Transitions in Aza Analogs of Pyrene

268

D-23

J. W. Downing and J. Michl (Univ. of Utah, U.S.A.)

 

 

 

 

3:20

Physico Chemical Properties of First Singlet Excited State for Some Dibenzacridines and Pyridobenzocarbazoles

269

D-24

M. Deumie, P. Jacquignon, B. Saperas and P. Viallet (Centre Univ., FRANCE)

 

 

 

 

3:40

INTERMISSION

 

 

 

 

4:00

N.M.R. Conformational Studies of Formylpyrroles C-Substituted

271

D-25

T. Drakenberg and M. Farnier (Laboratoire de Polarographie Organique, FRANCE)

 

 

 

 

4:20

Use of Nuclear Overhauser Effect in the Elucidation of Structures: Determination of the Substitution sites in Heteroaromatic Systems

273

D-26

B. Roques, S. Combrissan and R. Oberlin (Ecole Polytechnique, FRANCE)

 

 

 

 

4:40

Biogenetic Type Synthesis of Branched and Extended Chain Carbohydrate Derivatives

275

D-27

A. M. Sepulchre, G. Lukacs, A. Gateau-Olesker, G. Vass and S. D. Gero (Institut de Chimie des Substances Naturelles, FRANCE)

 

 

 

 

5:00

Photo- and Electronolysis of 2-(3,5-Diphenyl-1-Phenylsulfonyl-2-Pyrazolin-5-yl)acetophenone

277

D-28

K. Lempert, M. Lempert-Sreter and J. Tamas (Techn. Univ., HUNGARY)

 

 

 

 

5:20

The Photochemistry of Tetrazines

278

D-29

M. Druelinger, H-F Chang and J. Gallagher (Indiana State Univ., U.S.A.)

 

 

 

FRIDAY, 13 July

 

SESSION A

Chairman:  I. Lalezari

Page

2:00

The Reaction of Heteroaromatic N-Oxides with Acetylenes

 57

A-32

R. A. Abramovitch and I. Shinkai (Univ. of Alabama, U.S.A.)

 

 

 

 

2:20

Degradative Ring Opening of Condensed 3-Benzenesulfonyloxy-uracils with Sodium Methoxide

 59

A-33

L. Bauer and K-Y. Tserng (Univ. of Illinois, U.S.A.)

 

 

 

 

2:40

Cycloaddition of 1-Azirines with Cyclopentadienones. Formation of 2H- and 3H-Azepines and Mechanistic Interpretation

 61

A-34

D. J. Anderson and A. Hassner (Univ. of Colorado, U.S.A.)

 

 

 

 

3:00

Synthesis and Rearrangements of 1,2,3,4,5,6-Hexahydro-3-benzazocin-6-ones

 63

A-35

W. T. Comer, J. D. Catt, W. L. Matier and H. Scarborough (Mead Johnson and Company, U.S.A.)

 

 

 

 

3:20

A New Type of Heterocyclization Proceeding Through a Multicenter Rearrangement: Preparation of 5-aryl-6,6a-dialkyl-2,3-dioxo-2,2a,4a,6b-tetrahydro-1,4-dioxa-cyclopenta(c,d)pentalene

 65

A-36

A. Valla, M. ,Giraud and D. Molho (Muséum National d'Histoire Naturelle, FRANCE)

 

 

 

 

3:40

INTERMISSION

 

 

 

 

4:00

Synthesis of Four Isomeric 1,2,3-Thiadiazolopyridines and Some 4-(x-Pyridyl)-1,2,3-thiadiazoles

 67

A-37

A. Taurins and D. Eugène (McGill Univ., CANADA)

 

 

 

 

4:20

The Photochemistry of Five Membered Hydroheteroaromatics: 2-Thiazolines and 2-Isoxazolines

 69

A-38

T. Matsuura and Y. Ito (Kyoto Univ., JAPAN)

 

 

 

 

4:40

Photochemical and Thermal Behaviours of Heterocycles Involving Azido-ketone Moiety

 71

A-39

T. Sasaki, K. Kanematsu and M. Murata (Nagoya Univ., JAPAN)

 

 

 

 

5:00

Chemical Behaviors of Pyridinium N-Allylides

 73

A-40

T. Sasaki, K. Kanematsu, A. Kakehi and G. Ito (Nagoya Univ., JAPAN)

 

 

 

 

5:20

A 5-Methylthiopenicillin Analog and its Transformation to Novel Bicyclic b-Lactams

 75

A-41

A. K. Bose, J. L. Fahey and M. S. Manhas (Stevens Institute of Technology, U.S.A.)

 

 

SESSION B

Chairman:  Bernard Loev

Page

2:00

Chiral 1,4-Benzodiazepines. Synthesis and Properties of 1,4-Benzodiazepin-2-ones Containing α-Amino Acids as a part of the 1,4-Benzodiazepine Ring

131

B-30

N. Blazevic, V. Sunjic, F. Kajfez, I. Stremar and D. Kolbah (Compagnia di Ricerca Chimica SA., SWITZERLAND)

 

 

 

 

2:20

Azaphenanthrenophenes and Their Metal Complexes

133

B-31

S. Ogawa and N. Gotoh (Univ. of Tokyo, JAPAN)

 

 

 

 

2:40

The Chemistry of 2-Tetrahydropyranthiol, A Reagent for Direct Introduction of Protected Thiols

135

B-32

R. Ketcham, M. Missakian and A. Martin (Univ. of California, U.S.A.)

 

 

 

 

3:00

Reactions of 1,2-Dimethyl-5-nitroimidazole. A Novel General Method for Conversion of Methyl Groups to Nitriles

137

B-33

J. D. Albright and R. G. Shepherd (American Cyanamid Co., U.S.A.)

 

 

 

 

3:20

Synthesis and Reactivity of 1,2-Tetrahydrodiazepinones and 1,2-Tetrahydrodiazepines

139

B-34

C-G. Wermuth and J-J. Koenig (Laboratoire de Chimie Organique, FRANCE)

 

 

 

 

3:40

INTERMISSION

 

 

 

 

4:00

Nitro Derivatives of N-Picrylbenzotriazoles and N-Picrylpyridotriazoles

141

B-35

M. D. Coburn (Univ. of California, U.S.A.)

 

 

 

 

4:20

Benzotriazoles from o-Azidoazobenzenes

142

B-36

J. H. Hall and F. W. Dolan (Southern Illinois Univ., U.S.A.)

 

 

 

 

4:40

Uses of γ-Piperidones for the Synthesis of Heterocyclic Compounds

143

B-37

N. S. Prostakov (Peoples Friendship Univ., USSR)

 

 

 

 

5:00

Synthesis of the 2,3,6,7-Dibenzo-9-azabicyclo(3,3,1)nonanediol-1,5-Type Heterocyclic Compounds on the Basis of 1,2,5,6-Dibenzo-3,3,7,7-tetramethylcyclo-octanedione-4,8 and Some Biogenic Amines.

145

B-38

R. M. Lagidze, N. K. Iremadze, D. R. Lagidze, and R. R. Devdariani (Academy of Sciences of the Georgian SSR, USSR)

 

 

 

 

5:20

Cycloaddition Reaction of Dibenzo[b,e]-1,3a,6a-triazapentalenes as New Cyclic Azomethine Imines

147

B-39

O. Tsuge and H. Samura (Kyushu Univ., JAPAN)

 

 

SESSION C

Chairman:  B. S. Thyagarajan

Page

2:00

The Anomeric Effect in Sulfur-Containing Heterocycles

209

C-30

M. Ōki, T. Sugawara, K. Arai and M. Fukunaga (Univ. of Tokyo, JAPAN)

 

 

 

 

2:20

The Crystal Structure of the Heterocycle C8H16S30

211

C-31

N. K. Dalley, R. M. Izatt and J. J. Christensen (Brigham Young Univ., U.S.A.)

 

 

 

 

2:40

A New Synthesis of Bullatenone and Related Reactions

213

C-32

A. Takeda, S. Tsuboi and T. Sakai (Okayama Univ., JAPAN)

 

 

 

 

3:00

Recent Advances in Heterocyclic Ylidenemalononitrile Chemistry

215

C-33

S. W. Schneller, D. R. Moore, J. Hays and F. W. Clough(Univ. of South Florida, U.S.A.)

 

 

 

 

3:20

Preparation of 2,5-Dimethyl-4-hydroxy-3(2H)-furanone

217

C-34

K. K. Light, W. J. Evers and A. O. Pittet (International Flavors and Fragrances, Inc., U.S.A.)

 

 

 

 

3:40

INTERMISSION

 

 

 

 

4:00

Studies in the Synthesis of Furobenzopyrones: Synthesis of Psoralene and Psoralene Derivatives

218

C-35

N. H. Pardanani, Y. A. Shaikh and K. N. Trivedi (Univ. of Baroda, INDIA)

 

 

 

 

4:20

Studies in the Synthesis of Furocoumarins: Synthesis of 4-hydroxy-4',8-dimethylpsoralene and Psoralene Derivatives

220

C-36

Y. A. Shaikh, N. H. Pardanani and K. N. Trivedi (Univ. of Baroda, INDIA)

 

 

 

 

4:40

Syntheses and Properties of Pyranopyrandiones

222

C-37

S. F. Tan (Univ. of Singapore, SINGAPORE)

 

 

 

 

5:00

Unusual Nitration Reactions of Benzo-1,4-dioxane Derivatives

224

C-38

G. V. Purvaneckas, E. B. Udrėnaitė and V. K. Daukšas (Vilnius V. Kapsukas State Univ., USSR)

 

 

 

 

5:20

Use of 5-Nitrofurfury1nitrate in Organic Synthesis

226

C-39

J. Kováč and A. Jurášek (Slovak Technica1 Univ., ČSSR)

 

 

SESSION D

Chairman:  Albert I. Meyers

Page

2:00

The C6H5N Energy Surface: Isomerization in Pyridylcarbenes

279

D-30

W. D. Crow, A. N. Khan, M. N. Paddon-Row and D. S. Sutherland(Australian National Univ., AUSTRALIA)

 

 

 

 

2:20

Metalation of 2-Methylthiazoles. Substituent, Steric and Isotope Effects

281

D-31

A. I. Meyers and G. Knaus (Colorado State Univ., U.S.A.)

 

 

 

 

2:40

Some Principles Governing Cation Selectivity by Macrocyclic Compounds

283

D-32

L. D. Hansen, J. J. Christensen, D. J. Eatough and R. M. Izatt (Brigham Young Univ., U.S.A.)

 

 

 

 

3:00

Formation and Reactions of Heterocyclic Free Radicals in the Gas Phase I. The Thienyl Radical

284

D-33

E. K. Fields and S. Meyerson (Amoco Chemicals Corp., U.S.A.)

 

 

 

 

3:20

Frontier Orbitab Method: Stereochemistry of the Approach of the Dipole by the Dipolarophile in the 1,3 Dipolar Addition of Nitrones and Nitronic Esters to Activated Olefins

286

D-34

R. Grée, M. Joucla, F. Tonnard, J. Hamelin, and R. Carrié (Groupe de Recherches de Physicochimie Structurale, FRANCE)

 

 

 

 

3:40

INTERMISSION

 

 

 

 

4:00

Heterocyclic 8π Systems as Reactive Intermediates

288

D-35

R. R. Schmidt (Institut für Organische Chemie, Biochemie und Isotopenforschung,GERMANY)

 

 

 

 

4:20

The Mechanism of Ring-opening of 3-Unsubstituted-3-isoxazolin-5-ones

290

D-36

D. J. Woodman and P. M. Stonebraker (Univ. of Washington, U.S.A.)

 

 

 

 

4:40

Spectroscopic Investigation of Cyclic Conjugated Enamines

291

D-37

H. W. Dürbeck and L. L. Duttka (Jülich Nuclear Research Center, FRG)

 

 

 

 

5:00

The Sulfonic Acids of Strychnine and Derivatives

293

D-38

G. A. Baramki, J. T. Edward, P. G. Farrell and G. Welch (McGill Univ. - CANADA)

 

 

 

 

5:20

Carbon-13 Studies of Neutral and Ionic Purines and Pyrimidines

294

D-39

G. D. Mateescu and G. Pouzard (Case Western Reserve Univ., U.S.A.)

 

 

 

 

5:40

Reaction of Substituted 1,3,5-Triazines under High Pressure. Rearrangement to 4-Aminapyrimidines and Replacement of the Substituents

296

D-40

M. Kurabayashi, K. Yanagiya and M. Yasumato (Nat. Chem. Lab. for Industry, JAPAN)